Information
collected from
http://www.science.uwaterloo.ca/~cchieh/cact/c120/hybrid.html
http://www.elmhurst.edu/~chm/vchembook/210polarity.html
http://www.chemistrycoach.com/tutorials-1.htm
INTRODUCTION
We know the structure of the atom. We know that
each atom is a compromise between electrostatic attraction between the
electrons and the nucleus and electron-electron repulsion. Chemical bonds
between atoms must have the same features. The energy of interaction between the atoms changes with distance
between the nucleii. There is an optimal distance for the chemical bond which
is where this energy is at a minimum. The minimum energy with respect to the
energy of dissociated fragments (r -> infinity) is called the bond energy.

The above picture is for the case of the Hydrogen molecule, but each particular
chemical bond has its' own equilibrium distance and its' own bond dissociation
energy. The bond lengths of the halogen molecules are used to determine an
approximate radius for chemical (covalent) bonding of the halogen atoms.
Perfect electron sharing is expected between atoms of
the same type, so the bond in this case is perfectly covalent.

Why do atoms
form covalent bonds? two major factors:

Now combine atoms together to form molecules by pairing
electrons without changing the total number of electrons. Make an 'octet'
around each atom in this way (except Hydrogen which can only support 2 valence
electrons and heavy elements which can support 'super-octets' due to unfilled
d- and f- orbitals). Replace all bonding pairs with a single line (non-bonded
pairs of electrons or lone pairs are left as two dots). If more than one pair
of electrons is shared between a given pair of atoms, a multiple bond has
formed. Draw a solid line for each pair of bonding electrons in the multiple bond. Try to pair all the electrons in the structure (this
is not possible if the number of valence electrons is odd).
Triumphs of Lewis dot structure:
Example
Lewis structures:


Try this interactive builder of Lewis Dot
Structures
(http://www.stolaf.edu/depts/chemistry/courses/toolkits/121/js/lewis/)
A
chemical bond is a mechanism that is used to chemically combine atoms. There
are three types of bonds: metallic, ionic, and
covalent.The mechanism is an electrostatic force of attraction between areas of
positive and negative charge. The locations of the areas of charge will differ
from system to system. These differences are responsible for the various types
of bonds generally found in compounds. Bonds form as an attempt to
stabilize a chemical system by releasing energy. The greater the amount of
energy released during the formation of a bond, the more stable the bond will
be. All bond formation processes involve the use of valence level electrons.
The bond forming
process is always exothermic. If two atoms can release energy by forming a
bond, then the atoms will be more stable by staying together than they would be
as individual atoms. As a result, the atoms remain in the bonded condition. If
two atoms gain energy in an attempt to form a bond, then the bond will NOT
form. They need the benefit derived from a reduction of energy, not a gain of
energy.
Bond
Energy is the amount of energy released when a bond forms. It is a direct
measure of the amount of stability gained when two atoms establish a chemical
bond. Inversely, bond energy corresponds to the amount of energy that is
required to break a bond. The amount that is required to break a bond is
exactly equal to the amount released when the bond formed. The magnitude of the
bond energy corresponds to the vertical drop that appears in a potential energy well at the lowest point, or most stable position, in
the curve. An equation that represents a bond formation process would appear as
A + B = AB + Energy.
The energy term corresponds to the energy released, or bond energy
Bond Length is the average distance between the centers of two bonded
atoms. Because bonded atoms experience some vibration, moving towards and away
from each other, the distance between bonded atoms will vary slightly over a
period of time. The term Bond Length specifically refers to the average
positions of the two atoms during the harmonic vibrations that they undergo. On
the Potential Energy Well, the Bond Length is the position on the horizontal
coordinate that corresponds to the bottom of the well, or the position of
lowest energy for the system.
The Bond Mechanism is the actual force that holds bonded atoms together.
The mechanism differs from the bond motivation. The motivation explains WHY
atoms would like to bond. Mechanism refers to the force that keeps them
together after they have bonded. In all cases, regardless of bond type, the
mechanism is an electrostatic force of attraction (Coulombic Force). The
primary difference between the various types of bonds is the location of the
charged areas that are responsible for establishing the electrostatic forces.
For instance, in ionic systems the electrostatic force is established between
the cation and the anion. In covalent types of systems, the electrostatic force
is established between the positive nuclei and the negative electron cloud that
exists between the nuclei.
Covalent versus Ionic Bonding
In our early discussion of chemical compounds, we said that if a non-metal and
a metal bond, one or more electrons will be transferred from the metal to the
nonmetal and the resulting ions stick by electrostatics. This is an extreme
case of unequal sharing of electrons, but leads to the same kind of octet
configuration of the atoms involved in the bond. Take LiF, for example:

How evenly or not the bonding electrons are shared will determine
the polarity of the bond and the nature of the interaction. What determines how
the electrons are shared is the relative electronegativity (electron greed) of
the bonding atoms. The degree of polarity or degree of ionic bonding of any
given bond can vary continuosly zero to nearly 100%. We normally say that bonds
between atoms with electronegativity difference (DEN )greater than
1.7 are ionic, although this really means only more than about half ionic in
character. Here are some examples of the bonds formed with different
electronegativity differences, DEN,between the atoms:

Since we are treating the chemical bond as largely depending only upon the
nature of the two atoms in contact through the bond, perhaps we can use this idea
to determine the overall stability of a molecule by adding up its bond
energies. This assumes that all chemical bonds between the same pair of
atoms of the same type are approximately equal in properties. Namely, in
this case, we will assume all C-H bonds take about the same amount of energy to
break, regardless of the molecule they are in.

The hypothetical state of a molecule after all its bonds are broken can
be used as a 'reference', just like we used the standard states of the elements
as a reference for the Enthalpies of Formation of molecules. Thus the
energetics of a chemical transformation can be estimated from the bonds broken
and formed in the reaction

A specific example can be made from
our old familiar combustion of methane reaction. We calculated the enthaly
change during this transformation before from traditional thermochemcial
methods. We can do this agian by using the average bond enthalpies of C-H, C=O,
{O=O}, and O-H bonds

So, the Heat of Formation of new molecule, or the Heat of Reactions of a
given transformation can be estimated by using average bond energies and
the above thermochemical analysis. This is not as accurate as using directly
measured heats of formation (which is not an approximation!) but is sometimes
very useful as a starting guess.
Other average properties of bonds are also useful. For instance, the
equilibrium bond length of a given type of bond is usually pretty constant from
molecule to molecule. Therefore, average bond lengths can be used to predict
parts of the structure of new and unknown molecules.

IONIC BONDING
The common table salt,
NaCl, is a representative of an important class of compounds called salts.
A salt consists of positive and negative ions, Na+ and Cl-
in NaCl. Salts such as KCl, CsCl, CaCl2, CsF,
KClO4 NaNO3, and CaSO4 are generally
considered ionic compounds, which are composed of (positive) cations and
(negative) anions. When they dissolve in water, the solutions contain hydrated
positive and negative ions.

A salt is produced in a
neutralization reaction or in a direct reaction. For example, NaCl solid can be
obtained by
NaOH + HCl = H2O + NaCl (solid after
evaporation of solvent)
2 Na + Cl2(g) = NaCl (solid) (burning metallic sodium in a chlorine
gas.)
Ionic Bonding
When a highly
electronegative atom and an electropositive one are bonded together, an electron is transferred from the electropositive atom to
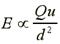
the electronegative atom to form a cation and an anion, respectively. The cation, being a positively charged ion, is attracted to the negatively charged anion as described by Coulomb's law:

Figure 1.1: Coulomb's
law states that oppositely charged species attract each other.
A negative energy
means there is an attractive interaction between the particles in the above
expression. If the charges on the two ions are opposite in sign, they will attract each other. Conversely, if two
charges are similar, they repel each other. Using this knowledge we can construct
a graph of energy versus distance for two oppositely charges ions. At large
distances, there is a negligible energy of attraction between the two ions, but
as they are brought closer together, they are attracted to one another.
Coulomb's law may seem to predict that the ions should be as close as possible
to achieve a minimal energy state. However, the graph of energy versus
distance1.2 shows that the ions are actually repelled at small distances. To
explain this observation, remember that the ions' nuclei are both positively
charged. When the nuclei approach each other, they repel strongly--accounting
for the steep rise in potential as the ions get closer than the bond length.

Figure 1.2: Plot of
potential energy versus distance for oppositely charged ions
The depth
(y-axis) of the minimum in the potential energy curve above represents the bond
strength, and the distance (x-axis) at the energy minimum is the bond length.
Using Coulomb's law and the bond length, one can actually predict with some
accuracy the strength of an ionic bond. Performing a series of these
calculations you find that ionic compounds formed by ions with larger charges
create stronger bonds and that ionic compounds with
shorter bond lengths form stronger bonds.
Crystal Lattices
Ionic compounds do not usually exist as isolated molecules, such as LiCl, but
as a part of a crystal lattice--a three dimensional regular array of cations
and anions. Ionic compounds form lattices due to the contributing coulombic attractions of
having each cation surrounded by several anions and each anion surrounded by
several anions. An example of a crystal lattice is shown in Figure 1.3:

Figure 1.3: An ionic
crystal lattice
As you can see in
the above figure, each lithium ion is surrounded by six chlorine atoms and vice
versa. By virtue of the arrangement of the ions in the lattice, the lattice is
lower in energy than it would be if the ions were separated into isolated LiCl
molecules.
Bond
enthalpies provide a measure of the strength of covalent bonds. Ionic bonding
is an electrostatic attraction between oppositely charged ions. The attraction
acts in all directions, resulting in a giant ionic lattice containing many
ions. For ionic compounds the corresponding enthalpy is the lattice enthalpy
(also called the lattice energy). Lattice enthalpy indicates the
strength of the ionic bonds in an ionic lattice.
The standard
molar lattice enthalpy is the energy required to convert one mole of a
solid ionic compound into its constituent gaseous ions under standard
conditions.
e.g. NaCl (s) Na+
(g) +
Cl- (g)
This is an
application of Hess’s Law and can be used to calculate lattice energies.
Lattice
enthalpies cannot be determined directly by experiment and must be calculated
indirectly using Hess’s Law and other enthalpy changes that can be found
experimentally. The energy cycle used to calculate a lattice enthalpy is the
Born-Haber cycle.
The basis
of a Born-Haber is the formation of an ionic lattice from its elements.
In general
for an ionic compound a Born-Haber cycle can be written as:
Na+ (g) +
Cl- (g)
ΔHe.a.
Na+
(g) + Cl (g)
ΔHI.E.
Na (g)
+ Cl (g) ΔHlatt.= U
ΔHdiss.
Na
(g) +
½ Cl2 (g)
ΔHsub. ΔHFθ
Na (s) +
½ Cl2 (g) NaCl (s)
Applying
Hess’s Law
ΔHsub. + ΔHI.E.
+ ΔHdiss. + ΔHe.a.
- ΔHlatt. – ΔHfθ = 0
According
to Hess’s Law
ΔHlatt. = (-ΔHFθ) + ΔHsub. +
ΔHI.E. + ΔHdiss.
+ ΔHe.a.
ΔHfθ
= enthalpy of
formation of MX (s)
ΔHsub. = enthalpy
of sublimation of M (s)
ΔHI.E.
= ionisation
energy
ΔHdiss. = dissociation
energy of X2 (g)
ΔHe.a.= electron affinity of X (g)
ΔHlatt. = lattice
energy
Consider
the reaction between sodium and chlorine to form sodium chloride.
Na
(s) + ½ Cl2 (g) NaCl (s)
The
reaction can be considered to occur by means of the following steps:
· Vaporization of sodium
Na (s) Na
(g) ΔHsub.
The standard
enthalpy of sublimation or vaporisation is the enthalpy change when one mole of
sodium atoms are vaporised. This is an endothermic process and can be
determined experimentally.
· Ionization of sodium
Na
(g) Na+
(g) + e- ΔHI.E
The standard enthalpy of ionisation is the
energy required to remove one mole of electrons from one mole of gaseous
atoms. This is endothermic and can be
determined by spectroscopy.
· Dissociation of chlorine molecules
Cl2 (g) 2Cl
(g) ΔHdiss.
The
standard bond dissociation enthalpy is the energy required to dissociate one
mole of chlorine molecules into atoms (i.e. to break one mole of bonds). This is also endothermic and can be
determined by spectroscopy.
· Ionization of chlorine atoms
Cl (g) + e- Cl- (g) ΔHe.a.
The
electron affinity of chlorine is the energy released when one mole of gaseous
chlorine atoms accepts one mole of electrons forming one mole of chloride ions.
· Reaction between the ions
Na+ (g) +
Cl- (g) NaCl
(s) -ΔHlatt.
This is the
reverse of the lattice energy. The standard lattice enthalpy is the energy
absorbed when one mole of solid sodium chloride is separated into its gaseous
ions. It has a positive value and cannot
be determined experimentally.
· The
melting points of ionic solids depend on their lattice enthalpies.. The greater the lattice energy the higher the melting
point of the compound.
|
|
NaF |
NaCl |
NaBr |
NaI |
|
ΔHlatt. kJ mol-1 |
915 |
781 |
743 |
699 |
|
m. pt. oC |
995 |
808 |
750 |
662 |
·
Solubility of ionic compounds is usually governed by its lattice energy. In general the higher the lattice energy the lower the solubility.
(See
enthalpy of solution below)
· A comparison of calculated and theoretical lattice energies
gives an indication of the degree of covalent character in an ionic
compound. The greater the difference
between the two values the more covalent the compound.
|
Compound |
Theoretical
lattice energy kJ mol-1 |
Calculated
lattice energy (via Born-Haber cycle) kJ mol-1 |
|
NaCl |
766 |
776 |
|
NaBr |
731 |
742 |
|
NaI |
686 |
699 |
|
AgCl |
768 |
890 |
|
AgBr |
759 |
877 |
|
AgI |
736 |
867 |
The close agreement
between the theoretical and experimental values for the alkali metal halides
provides strong evidence that the simple ionic model of a lattice, composed of
discrete spherical ions with an even charge distribution, is a very
satisfactory one.
For the
silver halides the theoretical values are about 15% less than the experimental
values based on the Born-Haber cycle.
This indicates that the simple ionic model is not very satisfactory.
When there
is a large difference in electronegativity between the ions in a crystal , as in the case of the alkali metal halides then
the ionic model is satisfactory. However as the difference in electronegativity
gets smaller, as in the case of the silver halides, the bonding is stronger
than the ionic model predicts. The bonding in this case is not purely ionic but
intermediate in character between ionic and covalent. The ionic bonds have been polarised (Fajans
rules) giving some covalent character.
Trends in lattice
enthalpy explained in terms of ionic radius and charge.
Consider
the ionisation of an ionic solid MX.
MX (s) ®
Mn+ (g)
+ Xn- (g)
The ease of
separation of the ions and hence the lattice energy is determined by the size
of the ions and their charge.
|
|
Group I
|
Group II
|
||||||||
|
Li |
Na |
K |
Rb |
Cs |
Be |
Mg |
Ca |
Sr |
Ba |
|
F
|
1029 |
915 |
813 |
779 |
735 |
3456 |
2883 |
2583 |
2427 |
2289 |
|
Cl |
849 |
776 |
710 |
685 |
676 |
2983 |
2489 |
2197 |
2109 |
2049 |
|
Br |
804 |
742 |
671 |
656 |
644 |
2895 |
2416 |
2125 |
2046 |
1937 |
|
I |
753 |
699 |
643 |
624 |
607 |
2803 |
2314 |
2038 |
1954 |
1841 |
Effect
of ionic size
As the
ionic radius of both Mn+ and Xn- the lattice energy
decreases. The attractive force between the ions decreases and they become
easier to separate.
e.g. LiBr 804
kJ mol-1 BeCl2 2983 kJ mol-1
NaBr 742 MgCl2 2489
KBr 671 CaCl2 2197
RbBr 656 SrCl2 2109
CsBr 644 BaCl2 2049
As we
descend both Groups I and II the lattice energies become less positive.
For any
given metal the lattice energy also decreases in passing from the fluoride to
the iodide.
e.g. NaF 915 kJ mol-1 SrF2 2427 kJ mol-1
NaCl 776 SrCl2 2109
NaBr 742 SrBr2 2046
NaI 699 SrI2 1954
This is due
to an increase in ionic size from F- to I-
which increases the internuclear distance. There is a corresponding decrease in
attractive force and hence lattice energy.
When the
internuclear distances are about equal, as for RbF and LiI for example, then the
lattice energies are almost equal.
Effect
of ionic charge
As the
charge on Mn+ increases there is a greater attractive force between
the ions and lattice energies increase. In addition, the decrease in size of Mn+ with increasing charge
increases the attractive force between the ions and also increases the lattice
energy.
The ionic
radius of the Na+ and Ca2+ ions are very similar. However
the lattice energy of CaCl2 is about 3 times that of NaCl.
NaCl 776 kJ mol-1 CaCl2 2197 kJ mol-1
This is due
to the increased charge on the metal ion giving greater electrostatic
attraction.
In general
Group II halides have a lattice energy about three times that of the equivalent
Group I halide.
Beryllium
halides have considerable covalent character and the lattice energies are
bigger than expected.
Enthalpy of solution related to
lattice enthalpy and enthalpy of solvation of simple ionic salts.
When an ionic
solid dissolves two enthalpy changes are involved:
- The ionc lattice must be broken down and the
ions separated.
The energy required is the lattice enthalpy.
NaCl (s)
® Na+ (g) +
Cl- (g) ΔHlattice
This is an endothermic process.
- The separate
ions interact with the solvent molecules.
If the solvent is polar, the charged ions can
be attracted to one end of the polar solvent molecules. The energy released is
called the enthalpy of solvation.
When the solvent is water the enthalpy change is called the enthalpy
of hydration.
This process is exothermic.
Na+ (g) +
Cl- (g) + solvent ®Na+ (aq) + Cl-
(aq) ΔHsolvation
The
difference between the two is called the enthalpy of solution.
ΔHlattice
NaCl (s) +
(aq) Na+ (g) + Cl-
(g
![]()
ΔHsolution ΔHhydration
Na+ (aq) + Cl-
(aq)
Applying
Hess’s Law ΔHsolution = ΔHlattice + ΔHhydration
The enthalpy
of solution can be exothermic or endothermic depending on the size of the
lattice energy (ΔH +ve) and the solvation (hydration) energy (ΔH
-ve).
e.g. for
NaCl
ΔHlattice = +776 kJ mol-1
ΔHhydration
= -772 kJ mol-1
Therefore
ΔHsolution = +4 kJ mol-1
The
enthalpy of solution is the energy change when one mole of solute is dissolved
in a solvent to form an infinitely dilute solution.
Some values
for enthalpies of hydration are given below.
|
H+ |
Li+ |
Na+ |
K+ |
Rb+ |
Cs+ |
|
-1075 |
-449 |
-390 |
-306 |
-281 |
-248 |
|
|
Be2+ |
Mg2+ |
Ca2+ |
Sr2+ |
Ba2+ |
|
-2425 |
-1891 |
-1562 |
-1414 |
-1273 |
|
|
|
Al3+ |
|
|||
|
-4613 |
|||||
Properties
of ionic compounds:
Why ionic substances are the way they are?
Ionic solids are rigid because the multiple interactions between
oppositely charged ions hold the charged particles in relatively fixed
positions. Electrical conductivity depends on ions being able to move freely.
The conduction of heat depends partly on the movement of electrons in a
substance. Electric charge is "locked" in the lattice positions of
the ions in the solids. This means there is poor mobility of charges and poor
conductivity of electricity and heat.
Ionic solids are brittle and hard because the electrostatic attractions
in the solid again hold the ions in definite positions. The electrostatic attractions
must be overcome to move the ions. When the ions in the solid are shifted by
some very strong force the positions of ions shift so that like charged ions
are close together. This results in strong repulsions
and the like charged ions move apart. This causes the solid to shatter and not
simply deform like a metal. Try crushing a few grains of salt in the bowl of a
spoon with anoterh spoon. The particles do not deform, they shatter.
Iionic solids melt when
the ions have enough energy to slide past one another. They are mobile and can
act to carry electrical charge through the liquid. This explains why a molten
ionic substance conducts electricity, but a solid ionic material doesn't. The
ions move through the liquid to carry charge from one place to another.
The dissolving process is like a tug of war. Soluble ionic substances
are ripped apart by the solvent when the solid is dissolved. The solvent pulls
the ions out of the solid and breaks the forces holding the crystal together.
The solvent isolates the ions in an envelope of solvent particles. The ions are
free to move and carry electric charge through the solution.
Nonsoluble ionic solids are held
together so tightly that the ions cannot be pulled out of the lattice by the
solvent. The attractive forces in the solid are stronger than the attractions
between the solvent and the ions. The solvent can't pull the ions out of the
crystal.
|
Ionic compound formula |
Ionic compound name |
Melting point in
degrees celsius |
Solubility
g per 100 g water
superscript
is temperature |
|
LiCl |
lithium chloride |
613 |
45 g cold water, 128 g100 |
|
NaCl |
sodium chloride |
801 |
209 g cold water, 284 g 100 |
|
KCl |
potassium chloride |
776 |
35 g cold water, 57 g 100 |
|
RbCl |
rubidium chloride |
715 |
77 g cold water, 139 g100 |
|
MgF2 |
magnesium fluoride |
1396 |
0.0076 g cold water, insoluble 100 |
|
MgCl2 |
magnesium chloride |
708 |
54 g cold water, 72 g100 |
|
MgBr2 |
magnesium bromide |
695-700 |
101 g cold water, 126 g 100 |
|
MgI2 |
magnesium iodide |
greater than 700 |
100 g 0 cold water, 165 g 100 |
Many differences in properties of ionic and molecular
materials stem from the fundamentally different nature and strength of forces
that hold these materials together. The attractive forces between positive and
negative ions are much stronger than the attractive forces between neutral
molecules. You can use that fact to explain differences in the following
properties for ionic and molecular compounds:
·
Electrical conductivity of the compound in aqueous solution. Ionic compounds conduct electricity
when dissolved in water, because the dissociated ions can carry charge through
the solution. Molecular compounds don't dissociate into ions and so don't
conduct electricity in solution.
·
Electrical conductivity of the compound in liquid form. Ionic compounds conduct electricity
well when melted; metallic solids do as well. Covalent molecular compounds do
not, because they usually don't transfer electrons unless they react.
·
Hardness.
Molecular solids are usually much softer than ionic materials. Ionic crystals are
harder but often quite brittle. Squeezing an ionic crystal can force ions of
like charge in the lattice to slide into alignment; the resulting electrostatic
repulsion splits the crystal.
·
Melting points and boiling points. In an ionic compound, the forces of
attraction between positive and negative ions are strong and high temperatures
are required to overcome them. The melting and boiling points of ionic
compounds are usually very high. A smaller amount of energy is required to
overcome the weak attractions between covalent molecules, so these compounds
melt and boil at much lower temperatures than metallic and ionic compounds do.
In fact, many compounds in this class are liquids or gases at room temperature.
·
Enthalpies of fusion and vaporization The enthalpy of fusion is the amount of heat
required to melt one mole of the compound in solid form, under constant
pressure. The enthalpy of vaporization is the amount of heat required to
vaporize one mole of the compound in liquid form, under constant pressure.
These properties are typically 10 to 100 times smaller for molecular compounds
than they are for ionic compounds.
COVALENT BONDING
G.N. Lewis used dots to
represent the valence electrons in his teaching of chemical bonding. He eventually
published his theory of chemical bonding in 1916. He put dots around the
symbols so that we see the valence electrons for the main group
elements. Formation of chemical bonds to complete the requirement of eight
electrons for the atom becomes a natural tendency.
Using Lewis dot structures
and the octet rule, we can predict the electronic structure of covalently
bonded molecules.
Diatomic
Molecules

These
molecules are called homonuclear diatomic molecules, since all atoms are the
same. They are also non-polar molecules.
Below
is an example of the polar HCl molecule.

Chlorine
is more electronegative than Hydrogen so HCl has a polar covalent bond.
For
diatomic oxygen, the Lewis dot structure predicts a double bond.

Actually,
this is not quite right. While the Lewis diagram correctly predict that there
is a double bond between O atoms, it incorrectly predicts that all the valence
electrons are paired (i.e. it predicts that each valence electron is in an
orbital with another electron of opposite spin). We know this is not right
because substances that contain unpaired electrons exhibit a behavior called
paramagnetism. Paramagnetic substances are attracted to a magnet. For
example, Iron metal is paramagnetic, and it can be picked up with a magnet. On
the other hand, blackboard chalk is not paramagnetic, so it cannot be picked it
up with a magnet. When we pour liquid nitrogen through the poles of a magnet,
we see that it just passes through. Nitrogen is not paramagnetic, thus it
doesn't have any unpaired electrons.
On
the other hand, if we pour liquid O2 through the poles of the
magnet, a solid O2 bridge forms because liquid O2 is
paramagnetic. In the next chapter, we will learn a more advanced theoretical
approach to chemical bonding called molecular orbital theory that can predict
double bonds and unpaired electrons for O2. In general, the Lewis-dot
structures have the advantage that they are simple to work with, and very often
present a good picture of the electronic structure.
For
a diatomic Nitrogen, the Lewis-dot structure is:

This
triple bond between nitrogens is very strong. The strength of the this triple bond makes the N2 molecule very
stable against chemical change. It is often called an inert gas.
There
is a relationship between the number of shared elelctron pairs and the bond
length.

The
distance between bonded atoms decrease as the number of shared e- pairs increase.


One exception is H (surrounded by only 2e-s).

Sometimes it's necessary to form double and triple bonds. Only C, N, O, and S
(rarely Cl) will form multiple bonds.

If there is
not enough electrons to follow the octet rule, then the least
electronegative atom is left short of electrons. e.g. BeF2 number of valence e-
= 2+ 2(7) = 16 e- or 8 pairs.
Neither Be or F form
multiple bonds readily and Be is least electronegative so

2. If there are too many electrons to follow the octet rule, then the
extra electrons are placed on the central atom.

How can this happen?
The octet rule arises because the s and p
orbitals can take on up to 8 electrons. However, once we reach the third row of
elements in the periodic table we also have d-orbitals, and these orbitals help
take the extra electrons.
NOTE: You still need to know how the atoms are
connected in a polyatomic molecule before using the Lewis-Dot structure rules.
We can
write Lewis dot structures that satisfy the octet rule for many molecules
consisting of main-group elements, but the octet rule may not be satisfied for
a number of compounds. For example, the dot structures for NO, NO2,
BF3 (AlCl3), and BeCl2 do not satisfy the
octet rule.
|
.N:::O: compare :C:::O: |
. |
.. |
. .
. . |
The above
are structures for the gas molecules. The solids of AlCl3 and BeCL2
are polymeric with bridged chlorides.
|
. .
. . |
Polymeric |
:Cl: :Cl: :Cl: |
Aluminium
chloride, AlCl3, is a white, crystalline solid, and an ionic compound.
However, it has a low melting point of 465 K (192°C), and the liquid consists
of dimers, Al2Cl6, whose structure is shown above. It
vaporizes as dimers, but further heating gives a monomer that has the same
structure as the BF3.
In compounds PF5,
PCl5, :SF4, ::ClF3, :::XeF2 and
:::I3-, the center atoms have more than 10 electrons
instead of 8. In compounds SF6, IOF5, :IF5,
BrF5, ::XeF4, PF6- etc, the center
atoms have 12 electrons.
The
formulas given above follows a systematic pattern according to the positions of
the elements on the periodic table. As the number of atoms bonded to it decreases,
the number of unshared electrons increase.
Formal
Charge
The formal
charge on any atom in a Lewis structure is a number assigned to it
according to the number of valence electrons of the atom and the number of
electrons around it. The formal charge of an atom is equal to the number
of valence electrons, Nv.e. subtract
the number of unshared electrons, Nus.e. and
subtract half of the bonding electrons, ½ Nb.e..
Formal charge = Nv.e. - Nus.e.
- ½ Nb.e.
Some
practice of assigning formal charge is necessary before you master this
technique. Some examples of drawing Lewis structure and assigning formal charge
are given below.
The formal charge is
a hypothetical charge from the dot structure. The formal charges in a structure
tell us the quality of the dot structure.
Often, many Lewis dot structures are possible. These are possible resonance structures, but often we should write a reasonable one, which is stable. The formal charge guides us about the stability of the dot structure. The guidance are called formal charge rules
Example
1.
Draw Lewis dot structure for SO2
Solution
Put down number of valence electrons:
|
.. |
.. |
.. |
Put all atoms together to make a molecule and check
to see if it satisfy the octet rule.
|
..
.. .. |
<= octet rule not satisfied |
|
0 0 0 |
formal charge |
Adjust bonding electrons so that octet rules
apply to all the atoms
|
..
.. .. |
<- octet rule satisfied |
|
-1 +1 0 |
formal charge |
Since the left O has 6 unshared plus 2 shared
electrons, it effectively has 7 electrons for a 6-valence-electron O, and thus
its formal charge is -1.
Formal charge for O = 6 - 6 - (2/2) = -1.
Formal charge for S = 6 - 2 -(6/2) = +1.
There
is yet another structure that does not satisfy the octet rule, but it's a
reasonable structure:
|
..
.. .. |
<- octet rule satisfied |
|
-1 +2 -1 |
formal charge |
When
several structures with different electron distributions among the bonds are
possible, all structures contribute to the electronic structure of the molecule.
These structures are called resonance structures. A combination of all these
resonance structures represents the real or observed structure. The Lewis
structures of some molecules do not agree with the observed structures. For
such a molecule, several dot structures may be drawn. All the dot structures
contribute to the real structure. The more stable structures contribute
more than less stable ones.
For resonance structures,
the skeleton of the molecule (or ion) stays in the same relative position, and
only distributions of electrons in the resonance structures are different.
Let us return to the SO2
molecule. The molecule has a bent structure due to the lone pair of electrons
on S. In the last structure that has a formal charge, there is a single S-O
bond and a double S=O bond. These two bonds can switch over giving two
resonance structures as shown below.
|
.. |
« |
.. |
« |
.. |
« |
.. |
|
1 |
|
2 |
|
3 |
|
4 |
|
.. |
In structure 1, the formal
charges are +2 for S, and -1 for both O atoms. In structures 2 and 3,
the formal charges are +1 for S, and -1 for the oxygen atom with a single bond
to S. The low formal charges of S make structures 2 and 3 more
stable or more important contributors. The formal charges for all atoms are
zero for structure 4, given earlier. This is also a possible resonance
structure, although the octet rule is not satisfied. Combining resonance
structures 2 and 3 results in the following structure:
Example
2.
Draw the resonance structures of NO3-
Solution
|
-1 |
« |
. . -1 |
« |
. . -1 |
The resonance structure is shown on the right here. Note that only the locations of double and single bonds change here. What are the formal charges for the N atoms? What are the formal charges for the oxygen atoms that are single bonded and double bonded to N respectively? Please work these numbers out.
· Formal charges: N, +1; =O, 0; -O, -1
·
The
most stable structure has the least formal charge.
·
In
a stable structure, adjacent atoms should have formal charges of opposite
signs.
The
more stable the structure, the more it contributes to the resonance structure
of the molecule or ion. All three structures above are the same, only the
double bond rotates.
In
1957 the canadian chemist R.J Gillespie (university Mc Master Hamilton,
Ontario) took back british N. Sigdwick and H. Powell idea, and developped the
theory of the valence shell electron pair repulsion VSEPR. This method
prolongs in the geometrical shape aspect the description of the chemical bond
by G. N. Lewis (1916).
The
ideal electronic symmetry of a molecule consisting of a central atom surrounded
by a number of substituents (bonded atoms and non-bonding electrons) is
characteristic of the total number of substituents, and is determined solely by
geometric
considerations -- the substituents are arranged so as to maximize the
distances amongst them. VSEPR is useful for predicting the shape of a
molecule when there are between 2 and 6 substituents around the central atom
(the case of one substituent is not discussed because it is trivial -- the only
possible shape for such a molecule is linear). That means that there
are only five unique electronic geometries to remember. For each electronic geometry, there may be a number of
different molecular geometries (the shape of the molecule when only bonded
atoms, not non-bonding electrons are considered). Molecular geometries are
really just special cases of the parent electronic geometry -- this will
hopefully be evident from the models shown on the pages linked to this one.
The electrons in the valence shell of most stable molecules and ions are
paired (some rare molecules like NO2 have unpaired electrons). The
Pauli principle shows that only the electrons which own opposite spin quantic
numbers move in the same space region, because they are described by the same
orbital. These electrons can be grouped together in pairs. In the Lewis model,
the bond between two atoms is described by a bonding electron pair. The
electron pairs no employed in a bond are lone pairs or non bonding electron
pair. Afterwards X indicate an atom attached to the
central atom A and E a non-bonding pair on the central atom. In first
approximation, multiple bonds are treated like a single bond with only one
shared pairs
|
|
Atoms attached to A : X |
Non-bonding pair on A : E |
|
Number |
n |
m |
The first approximation of the theory is to liken electron pairs to
punctual electric charges. Each pair which belongs to the valence shell moves
to a comparable distance from the atom centre, so on the same sphere whose the centre is the atom A. On this sphere, the position
of the pairs is the consequence of their mutual repulsions. Although this is
not an electrostatic interaction between punctual charges (because the
behaviour of electrons are governed by quantum
mechanics) we obtain a correct result if we search the arrangement that gives
maximum distances between electron pairs. At this first level of approximation,
we don't distinguish bonding and non bonding electron pairs. In these
conditions, the arrangement that minimizes the pair repulsions depends only the
sum (m + n), and so, if we stop at the number six, we see these following
geometrical figures.
|
m + n |
Overall geometry |
|
2 |
Linear |
|
3 |
Trigonal |
|
4 |
Tetrahedral |
|
5 |
Trigonal bipyramidal |
|
6 |
Octahedral |
For these five
geometrical figures, we'll see more arrangements of the electron pairs. We'll see
molecules with single or multiple bonds.
The
different arrangement of pairs
1. Linear arrangement
For example, molecules with
simple bonds :
![]()
Beryllium, an element of the
second column of the periodic classification, has for electronical configuration : [He] 2s2. It has two single bonds
with two atoms in BeCl2.

For
example, molecules with multiple bonds :

2. Trigonal
arrangement
We distinguish two families :
|
AX3 |
AX2E |
|
Trigonal planar |
Bent |

For example, molecules
with single bonds :
|
B |
Sn |
|
[He] 2s2 2p1 |
[Kr] 4d10 5s2 5p2 |

Molecules with multiple bonds :
|
S |
O |
N |
|
[Ne] 3s2 3p4 |
[He] 2s2 2p4 |
[He] 2s2 2p3 |

3. Tetrahedral
We distinguish three families :
|
AX4 |
AX3E |
AX2E2 |
|
Tetrahedral |
Trigonal
pyramidal |
Bent |

For example molecules with simple bonds :
|
Si |
P |
O |
|
[Ne] 3s2 3p2 |
[Ne] 3s2 3p3 |
[He] 2s2 2p4 |

For example molecules with
multiple bonds :
|
P |
S |
|
[Ne] 3s2 3p1 |
[Ne] 3s2 3p4 |

4. Trigonal
bipyramidal
The corners of the
bipyramid aren't equivalent. We can split in axial (a) or equatorial (e)
corners.

The problem can be
resolve if we refine the hypothesis of the method. The non bonding and bonding
pairs can be differently treated, indeed the position in the space of bonding
pairs is controlled by the field of the two bonding atoms, but the position of
non bonding pairs is controlled by only one atom : the
central atom. And so, the volume of a non bonding E is higher than this of
bonding S. The repulsion between pairs follows the order:
E-E
(x) > E-S (y) > S-S (z)
A practical parameter to
assess the importance of the repulsion between the pairs is the angle a between the directions of these pairs. This parameter
allow to compare the energies of the two arrangements (1) and (2) when
we count the interactions with the previous inegalities. If we only count the
interactions when a £ 90° (we disregard the other one) we
obtain :
|
Arrangement (1) |
Arrangement (2) |
|
The pair E acts with 2
atomes X |
The pair E acts with 3
atomes X |
The first arrangement is
stabler than the second. The molecules that belong to this first arrangement, are called "disphenoïd" molecules,
like SF4. Experimentally we don't know stereoisomer for this
molecule.
A same study for the
other possible trigonal bipyramidal shapes, shows that
the lone pairs must preferably occupy the equatorial positions.
|
AX5 |
AX4E |
AX3E2 |
AX2E3 |
|
Trigonal bipyramidal |
Seesaw |
T-shaped |
Linear |

For example molecules
with single bonds :
|
P |
S |
Cl |
I |
|
[Ne] 3s2 3p3 |
[Ne] 3s2 3p4 |
[Ne] 3s2 3p5 |
[Kr] 4 d10 5s2 5p5 |

Molecules and ions with multiple bonds :
|
S |
I |
|
[Ne] 3s2 3p4 |
[Kr] 4 d105s2 5p5 |

5. Octahedral arrangement
We observe these families
:
|
AX6 |
AX5E |
AX4E2 |
|
Octahedral |
Square
pyramidal |
Square
planar |

For example, molecules with single bonds :
|
S |
Br |
I |
|
[Ne] 3s2 3p4 |
[Kr] 3 d10 4s2 4p5 |
[Kr] 4 d10 5s2 5p5 |

Molecules
with multiple bonds :
|
I |
Xe |
|
[Kr] 4 d10 5s2 5p5 |
[Kr]
4 d10 5s2 5p6 |

|
Type |
Bond Angle |
Example |
Lewis Diagram |
Structure |
|
AB2: Linear |
180o |
BeH2 |
|
|
|
AB3: Trigonal Planar |
120o |
AlH3 |
|
|
|
AB4: Tetrahedral |
109.5o |
CH4 |
|
|
|
AB5: Trigonal Bipyramidal |
90o, 120o, 180o |
PCl5 |
|
|
|
AB6: Octahedral |
90o, 180o |
SF6 |
|
|
Second order effects
Influence
of the nature of electron pairs on the angles between bonds
It's logical to admit that the non-bonding pairs, less confined in the
internuclear space than bonding pairs, occupy a higher volume. And so, we see a
diminution of the angles between the bonds when we observe in the order CH4,
NH3 and H2O.
We observe the same
evolution for the ionic derivatives of NH3 :
|
NH4+ |
NH3 |
NH2- |
|
109,5° |
107° |
104° |
Influence
of the volume of the multiple bonds
The geometric form depends only on s bond. So we can class the molecules with p bonds in the same groups that these with
only s
bonds. But the volume occupied by the electrons depends on the number of
p
bonds, and then we observe a diminution of the opposite angle of the p
bond.
For example in the trigonal arrangement, the molecules like HCHO and
COCl2 have an angle between single bonds inferior to 120°.
In the tetraedric
arrangement we observe a diminution of the angle between single bonds when in
this order the central atom owns only single bonds, one double bond and one
triple bond like in : SiF4, POF3
and NSF3.
In the trigonal bipyramidal
arrangement the angle FOF is inferior to 120° in SOF4.
Influence
of the difference of electronegativity between atoms
There are two cases :
The first appears when for a same central atom we compare the angles
between bonds with atoms X whose electronegativity increases like
: PI3, PBr3, PCl3, PF3.
|
c (I) |
c (Br) |
c (Cl) |
c (F) |
|
2,66 |
2,96 |
3,16 |
3,98 |
c (I) < c (Br) < c (Cl) < c (F)
We observe a decrease of these
angles. Indeed, the bonding electron pairs are moved near X which have a higher
electronegativity than A, and then, confined near X, these pairs exert lower
repulsions and the angles decrease.
The second case appears
when for same bonding atoms X, we compare the angles between bonds for central
atoms A whose electronegativity increases like AsH3, PH3,
NH3.
|
c (As) |
c (P) |
c (N) |
|
2,17 |
2,19 |
3,04 |
c (As) < c (P) < c (N)
We observe an increase of these
angles. Indeed, the bonding electron pairs are moved near A which has an higher electronegativity than X and then confined near A
these pairs exert higher repulsions and the angles increase.
Addition
of the two effects : volume and electronegativity
The two effects seen can partially add or compensate. In molecules like
C2H4 and C2F2H2, the
angles between simple bonds are lower than 120°. This is because the volume of
the double bonds is higher than the volume of single bonds. In C2F2H2
this diminution is higher than in C2H4 because F has an electronegativity higher than H and then the bonding
pairs confined near F exert lower repulsions.
Non
equivalence between axial and equatorial positions in trigonal bipyramidal
geometry
We have already seen, that the equatorial and
axial positions aren't equivalent in molecules like PF5 or PCl5.
The interaction between bonding electron pairs in equatorial position is less
than in axial position. So there is a decrease of the length for the equatorial
bonds and an increase for the axial bonds.
|
Bond |
P-Cléq |
P-Clax |
|
d (nm) |
0,202 |
0,214 |
The non equivalence between axial and equatorial positions is visible when
the bonding atoms X are different. For example, in PF3Cl2,
Cl has a lower electronegativity than F and the electron pair that provides the
bond between P and Cl occupies a higher volume than this between P and F and
so, the molecule with Cl in equatorial positions is the stablest.
Remark
: The same
effect is observed in the octahedral arrangement. For AX5E molecules
like BrF5 (square pyramidal), we observe a small diminution of the
angle between bonds Br-Feq and Br-Fax (85° instead of
90°) due to a higher volume occupied by the non-bonding pair and the axial bond
is longer that the equatorial ones.
|
Bond |
Br-Feq |
Br-Fax |
|
d (nm) |
0,177 |
0,168 |
Limits of VSEPR method
The VSEPR method often
permits the correct prediction for the local arrangement of electron pairs
arround an atom when this one is the central atom without ambiguity but for
complex molecules it's more difficult to forsee the global geometry. For
example it's impossible to forsee that C2H4 is a flat
molecule or that in (allenes) the substituants are in perpendicular plane.
Morever, molecules aren't
static objects, this is clear in molecules with pyramidal atoms like NH3
or PH3 . It exists
some phenomenons more complex too, like the exchange between axial and
equatorial positions in trigonal bipyramidal geometry (
References
R. J Gillespie et R. S Nyholm -
Quart. Rev., 1957, 11, 339.
R. J Gillespie - Actualité chimique, 1973, 4, 27.
R. J Gillespie - Molecular geometry, 1972. Van Nostrand Reihold, Londres.
G. Fontaine - Bulletin de l'union des physiciens n° 591 p. 559-568.
J. Sala- Pala - Bulletin de l'union des physiciens n° 648 p. 201-244.
N. N Greenwood and A.
Earnshaw - Chemistry of the elements Pergamon Press 1984.
Links
VSEPR Theorie - Caroline Röhr, Universität
Freiburg
VSEPR - by M. Lerner, Oregon State
University
VSEPR - by Mark Winter, University of Sheffield
VSEPR - by John J. Nash, Purdue
University
http://www.faidherbe.org/site/cours/dupuis/vseprev.htm
http://www.towson.edu/~ladon/lewis.html
http://www.chemistry.ohio-state.edu/~grandine/teaching/Chem121/lectures/LewisDot/LewisDot.html
This
second approach is also called the Atomic Orbital Approach to Bonding. The
basic premise of this theory is that bonds are formed when atoms get close
enough so that atomic orbitals on the individual atoms will be able to overlap
so that the three dimensional probability regions share a common volume. This
effectively increases the probability of finding bonding electrons between the
two atoms. It also effectively results in the lowering of the energy state of
the molecular system making the molecule more stable as a result of the
overlap. The greater the overlap, the greater is the strength of the bond.
Pure Atomic Orbital Overlap
The
simplest of these bonds involve the overlap of two "s" orbitals as in
the example when two Hydrogen atoms get close enough to bond. The "s"
orbitals overlap to form a "sigma" bond between the two "s"
orbitals.
A
second type of overlap is between two "p" orbitals to form a sigma
bond between two "p" orbitals. An example is the p-p overlap between
two Chlorine atoms.
A
third type of sigma overlap is the overlap between an "s" orbital and
a "p" orbital such as when a Hydrogen atom's "s" orbital
overlaps with a "p" orbital of another atom like a Chlorine atom.
The
valence bond theory (VB theory) or the molecular orbital theory
(MO theory) explains why and how electrons are shared between atoms. The VB
theory imagines individual atoms, each with its own orbitals and electrons
coming together and forming covalent bonds of the molecule. The MO theory looks
at the molecule as a collection of positive nuclei surround by electrons
occupying sets of molecular orbitals.
A bond between two atoms is formed when a pair of electrons is shared by two overlapping
orbitals, according to the VB theory. For example, in a hydrogen molecule, the
two 1s orbitals from each H atoms overlap and share electrons.
The
basis for the Valence Bond theory: Sigma (s) bonds form by head on overlap of unhybridized, s-orbital-s-orbital,
p-orbital-p-orbital, s-orbital-p-orbital and hybridized, (sp, sp2,sp3, sp3d and sp3d2)
orbitals, strong bonds will form.
pi (p)-bonds
form by side-ways overlap of unhybridized p- and d-orbitals, weak bonds will
from.
Molecular Geometry (three dimensional structure) can be determined by the number of s-bonds and the lone pairs on the central atom. These lone pairs will also
be accommodated in hybridized orbitals.
|
Orbitals
used in bond formation |
s-bond, |
|
s-orbital - s-orbital |
|
|
s-orbital - p-orbital |
|
|
p-orbital - p-orbital |
|
|
Orbitals used in bond formation |
p-bond, |
|
py-orbital - py-orbital |
|
MOLECULAR
POLARITY
Polarity
is a physical property of compounds which relates other physical properties
such as melting and boiling points, solubility, and intermolecular interactions
between molecules.
For
the most part, there is a direct correlation between the polarity of a molecule
and number and types of polar or non-polar covalent bonds which are present.
In a few cases, a molecule may have polar
bonds, but in a symmetrical arrangement which then gives rise to a non-polar
molecule such as carbon dioxide.

Polarity
results from the uneven partial charge distribution between various atoms in a
compound. Atoms, such as nitrogen, oxygen, and halogens, that
are more electronegative have a tendency to have partial negative charges.
Atoms, such as carbon and hydrogen, have a tendency to be more neutral or have
partial positive charges.
Electrons
in a polar covalent bond are unequally shared between the two bonded atoms,
which results in partial positive and negative charges. The separation of the
partial charges creates a dipole. The word dipole means two poles: the
separated partial positive and negative charges. A polar molecule results when
a molecule contains polar bonds in an unsymmetrical arrangement.
Nonpolar
molecules are of two types. Molecules whose atoms have equal or nearly equal
electronegativities have zero or very small dipole moments. A second type of
nonpolar molecule has polar bonds, but the molecular geometry is symmetrical
allowing the bond dipoles to cancel each other.

·
Polar
covalent bonds are a particular type of covalent bond.
·
In
a polar covalent bond, the electrons shared by the atoms spend a greater amount
of time, on the average, closer to the Oxygen nucleus than the Hydrogen
nucleus. This is because of the geometry of the molecule and the great
electronegativity difference between the Hydrogen atom and the Oxygen atom.
·
The
result of this pattern of unequal electron association is a charge separation
in the molecule, where one part of the molecule, the Oxygen, has a parital
negative charge and the Hydrogens have a partial positive charge.
·
You
should note this molecule is not an ion because there is no excess of proton or
electrons, but there is a simple charge separation in this electrically neutral
molecule.
·
Water
is not the only molecule that can have polar covalent bonds. Examples of other
molecules that have polar covalent bonds are Peptide bonds and amines
.
The
biological consequence of polar covalent bonds is that these kinds of bonds can
lead to the formation of a weak bond called a hydrogen bond.
What is electronegativity? It is a measure of
an atom's attraction for electrons in the covalent bond. You would be right if
you said the halogen elements (fluorine, chlorine, iodine, etc) have some of
the highest electronegativities, since they want to get one more electron to
achieve an octet state. Look at the following periodic table and notice how
electronegativities vary in a consistent manner across each column and row.

When two
different atoms are covalently bonded, the atom with the higher
electronegativity will attract the shared electrons stronger than the other
atom can. This bond is known as a polar bond. As the difference in
electronegativities of the atoms in a bond increase, so does its polarity. The
more polar a bond becomes, the more ionic it is likely to be. You know that NaCl,
table salt, is ionic; notice the difference in electronegativities, which is about 2.3. The following figure illustrates how the
covalent and polar character increase. Typically,
bonds with differences in electronegativities of less than 1.7 are said to be
of covalent character.

Lets look at a polar molecule for an example. A good
example is HCl, hydrogen chloride gas.
The difference in
electronegativities is about 1.0, suggesting polar character. At any point in
time, the chlorine atom will attract the shared pair more strongly than the
hydrogen atom; at this point, a dipole-moment exists within the atom.
Now
look at methane, which has four equal hydrogen bonds.
Because the symmetrical
distribution of the polar bonds in the molecule cancels out the effects of the
bond polarity, methane remains neutral. If we were to replace
one hydrogen with a chlorine atom (forming chloromethane), the chlorine atom
would attract the shared pair of electrons more strongly than the hydrogen
opposite to it. Thus, the molecule becomes slightly polar.


Have
you ever noticed that oil does not dissolve in water? A few things to remember
are that most but not all organic compounds (compounds containing carbon and
hydrogen) are non polar. Also, if we look at a water molecule, we can see that
there is a lack of symmetrical electron distribution around the molecule.
Because of this, water has been shown to be polar.
We all know that salt dissolves in
water. Why? Because like dissolves like, thus water, being
polar, dissolves polar substances. Now we know why cooking oil simply
floats on water and does not dissolve.
We
have almost come to the end of our quest. One last section remains; the
discussion of how covalent molecules exist at room temperature.
HYBRIDIZATION THEORY OF
ATOMIC ORBITALS
The valence-bond approach considers the
overlap of the atomic orbitals (AO) of the participation atoms to form a
chemical bond. Due to the overlapping, electrons are localized in the bond
region.
The
overlapping AOs can be of different types, for example, a sigma bond may be
formed by the overlapping the following AOs.
|
Chemical bonds formed due to overlap of
atomic orbitals |
|||||
|
s-s |
s-p |
s-d |
p-p |
p-d |
d-d |
|
H-H |
H-C |
H-Pd in |
C-C |
F-S |
Fe-Fe |
However,
the atomic orbitals for bonding may not be "pure" atomic orbitals
directly from the solution of the Schrodinger Equation. Often, the bonding
atomic orbitals have a character of several possible types of orbitals. The methods to get an AO with the proper character for the bonding is
called hybridization. The resulting atomic orbitals are called hybridized
atomic orbitals or simply hybrid orbitals.
We
shall look at the shapes of some hybrid orbitals first, because these shapes
determine the shapes of the molecules.
The
solution to the Schrodinger Equation provides the wavefunctions for the
following atomic orbitals:
1s, 2s,
2p, 3s, 3p, 3d, 4s, 4p, 4d, 4f,
etc.
For atoms containing two or more electrons, the
energy levels are shifted with respect to those of the H atom. An atomic
orbital is really the energy state of an electron bound to an atomic nucleus.
The energy state changes when one atom is bonded to another atom.
Quantum
mechanical approaches by combining the wave functions to give new wavefunctions
are called hybridization of atomic orbitals. Hybridization has a sound
mathematical fundation, but it is a little too complicated to show the details
here. Leaving out the jargons, we can say that an imaginary mixing process
converts a set of atomic orbitals to a new set of hybrid atomic orbitals
or hybrid orbitals.
At
this level, we consider the following hybrid orbitals:
sp
sp2
sp3
sp3d
sp3d2
The sp hybrid atomic
orbitals are possible states of electron in an atom, especially when it is
bonded to others. These electron states have half 2s and half 2p
characters. From a mathematical view point, there are two ways to combine the 2s
and 2p atomic orbitals:
sp1 = 2s + 2p
sp2 = 2s - 2p
These energy states (sp1 and sp2) have a region of high electron probability each, and the two atomic orbitals are located opposite to each other, centered on the atom. The sp hybrid orbitals are represented by this photograph.
|
H-Be-H |
1s 1s |
For example, the molecule H-Be-H is formed due
to the overlapping of two 1s orbitals of 2 H atoms and the two sp
hybridized orbitals of Be. Thus, the H-Be-H molecule is linear. The diagram
here shows the overlapping of AOs in the molecule H-Be-H.
The ground state electronic configuration of Be is 1s22s2, and one
may think of the electronic configuration "before" bonding as 1s2sp2.
The two electrons in the sp hybrid orbitals have the same energy.
You may say that the concept of hybridizing AOs
for the bonding is just a story made up to explain the molecular shape of
Cl-Be-Cl. You are right! The story is lovely and interesting, though.
In general, when two and only two atoms bond to
a third atom and the third atom makes use of the sp hybridized orbitals,
the three atoms are on a straight line. For example, sp hybrid orbitals
are used in the central atoms in the molecules shown on the right.
The sp2
hybrid orbitals The energy states of the valence
electrons in atoms of the second period are in the 2s and 2p
orbitals. If we mix two of the 2p orbitals with a 2s orbital, we
end up with three sp2 hybridized orbitals. These three
orbitals lie on a plane, and they point to the vertices of a
equilateral triangle as shown here.
When the central atom makes use of sp2
hybridized orbitals, the compound so formed has a trigonal shape. BF3
is such a molecule.
Not all three sp2 hybridized
orbitals have to be used in bonding. One of the orbitals may be occupied by a
pair or a single electron. If we do not count the unshared electrons, these
molecules are bent, rather than linear. The three molecules shown together with
the BF3 molecule are such molecules.
Carbon atoms also makes use of the sp2
hybrid orbitals in the compound H2C=CH2. In this
molecule, the remaining p orbital from each of the carbon overlap to
form the additional pi, p, bond.
Other ions such as CO32-,
and NO3-, can also be explained in the same way.
The sp3
hybrid orbitals Mixing one s and all three p
atomic orbitals produces a set of four equivalent sp3 hybrid
atomic orbitals. The four sp3 hybrid orbitals points towards
the vertices of a tetrahedron, as shown here in this photograph.
When sp3 hybrid orbitals are
used for the central atom in the formation of molecule, the molecule is said to
have the shape of a tetrahedron.
The typical molecule is CH4, in
which the 1s orbital of a H atom overlap with
one of the sp3 hybrid orbitals to form a C-H bond. Four H
atoms form four such bonds, and they are all equivalent. The CH4
molecule is the most cited molecule to have a tetrahedral shape. Other
molecules and ions having tetrahedral shapes are SiO44-,
SO42-,
As are the cases with sp2,
hybrid orbitals, one or two of the sp3 hybrid orbitals may be
occupied by non-bonding electrons. Water and ammonia are such molecules.
The C, N and O atoms in CH4, NH3,
OH2 (or H2O) molecules use the sp3
hybrid orbitals, however, a lone pair occupy one of
the orbitals in NH3, and two lone pairs occupy two of the sp3
hybrid orbitals in OH2. The lone pairs must be considered in the
VSEPR model, and we can represent a lone pair by E, and two lone pairs by E2.
Thus, we have NH3E and OH2E2 respectively.
The VSEPR number is equal to the number
of bonds plus the number of lone pair electrons. Does not matter what is the
order of the bond, any bonded pair is considered on bond. Thus, the VSEPR
number is 4 for all of CH4, :NH3,
::OH2.
According the the VSEPR theory, the lone
electron pairs require more space, and the H-O-H angle is 105 deegrees, less
than the ideal tetrahedral angle of 109.5 degrees.
The five dsp3
hybrid orbitals resulted when one 3d, one 3s, and three 3p
atomic orbitals are mixed. When an atom makes use of fice dsp3
hybrid orbitals to
bond to five other atoms, the
geometry of the molecule is often a trigonalbipyramidal. For example, The molecule PClF4 displayed here forms such a
structure. In this diagram, the Cl atom takes up an axial position of the
trigonalbipyramid. There are structures in which the Cl atom may take up the
equatorial position. The change in arrangement is accomplished by simply change
the bond angles. This link discusses this type of configuration changes of this
molecule.
Some of the dsp3 hybrid
orbitals may be occupied by electron pairs. The shapes of these molecules are
interesting. In TeCl4, only one of the hybrid dsp3
orbitals is occupied by a lone pair. This structure may be represented by TeCl4E,
where E represents a lone pair of electrons. Two lone pairs occupy two such
orbitals in the molecule BrF3, or BrF3E2.
These structures are given in a VSEPR table of 5 and 6 coordinations.


The compound SF4 is another AX4E
type, and many interhalogen compounds ClF3 and IF3 are AX3E2
type. The ion I3- is of the type AX2E3.
The d2sp3
hybrid orbitals The six d2sp3
hybrid orbitals resulted when two 3d, one 3s, and three 3p
atomic orbitals are mixed. When an atom makes use of six d2sp3
hybrid orbitals to bond to six other atoms, the molecule takes the shape of an
octahedron, in terms of molecular geometry. The gas compound SF6 is
a typical such structure. This link provides other shapes as well.
There are also cases that some of the d2sp3
hybrid orbitals are occupied by lone pair electrons leading to the structures
of the following types:
AX6, AX5E,
AX4E2 AX3E3
and AX2E4
IOF5, IF5E, XeF4E2
No known compounds of AX3E3
and AX2E4 are known or recognized, because they are
predicted to have a T shape and linear shape respectively when the lone pairs of
electrons are ignored.
While the hybridized orbitals were introduced,
in the foregoing discussion, Valence-shell Electron-pair Repulsion (VSEPR)
Model were included to suggest the shapes of various
molecules. Specifically, the VSEPR model counts unshared electron pairs and the
bonded atoms as the VSEPR number. A single-, double- and tripple-bond is
considered as 1. After having considered the hybridized orbitals and the VSEPR
model, we can not take a systematic approach to rationalize the shapes of many
molecules based on the number of valence electrons.
A
summary in the form of a table is given here to account for the concepts of hybrid
orbitals, valence bond theory, VSEPR, resonance structures, and octet
rule. In this table, the geometric shapes of the molecules are described by
linear, trigonal planar, tetrahedral, trigonal bypyramidal, and octahedral.
The hybrid orbitals use are sp, sp2, sp3,
dsp3, and d2sp3.
The
VSEPR number is the same for all molecules of each group. Instead of
using NH3E, and OH2E2, we use
:NH3, ::OH2 to emphasize the unshared (or lone)
electron pairs.
|
A summary of hybrid orbitals, valence bond
theory, VSEPR, |
||||
|
Linear |
Trigonal |
Tetrahedral |
Trigonal |
Octahedral |
|
sp |
sp2 |
sp3 |
dsp3 |
d2sp3
|
|
BeH2 |
BH3 |
CH4 |
PF5 |
SF6 |
|
• a lone odd electron
: a lone electron pair |
||||
This table correlates a lot of interesting
chemical concepts in order to understand the molecular structures of these
compounds or ions. There are some intriguing chemical relationships among the
molecules in each column for you to ponder.
Only
Be and C atoms are involved in linear molecules. In
gas phase, BeH2 and BeF2 are stable, and these molecules
do not satisfy the octet rule. The element C makes use of sp hybridized
orbitals and it has the ability to form double and triple bonds in these linear
molecules.
Carbon
compounds are present in trigonal planar and tetrahedral molecules, using
different hybrid orbitals. The extra electron in nitrogen for
its compounds in these groups appear as lone unpaired electron or lone
electron pairs. More electrons in O and S lead to compounds with lone electron
pairs. The five-atom anions are tetrahedral, and many resonance structures can
be written for them.
Trigonal
bipyramidal and octahedral molecules have 5 and 6 VSEPR pairs. When the central
atoms contain more than 5 or 6 electrons, the extra electrons form lone pairs.
The number of lone pairs can easily be derived using Lewis dot structures for the valence electrons.
In
describing the shapes of these molecules, we often ignore the lone pairs. Thus,
•NO2, N3-, :OO2 (O3),
and :SO2 are bent molecules whereas :NH3, :PF3,
and :SOF2 are pyramidal. You already know that ::OH2
(water) and ::SF2 are bent molecules.
The
lone electron pair takes up the equatorial location in :SF4,
which has the same structure as :TeF4 described earlier. If you lay
a model of this molecule on the side, it looks like a butterfly. By the
same reason, ::ClF3 and ::BrF3 have a T shape, and
:::XeF2, :::I3-, and :::ICl2-
are linear.
Similarly, :BrF5 and :IF5 are square pyramidal
whereas ::XeF4 is square planar.
A nice student asked a brilliant question.
Which atom in the formula is usually the center atom?
Usually,
the atom in the center is more electropositive than the terminal atoms.
However, the H and halogen atoms are usually at the terminal positions because
they form only one bond.
Take
a look at the chemical formulas in the table, and see if the above statement is
true.
However,
the application of VSEPR theory can be expanded to complicated molecules such
as
H H H O | | | // H-C-C=C=C-C=C-C-C | | \ H N O-H / \ H H |
By
applying the VSEPR theory, one deduces the following results:
HYBRIDIZATION AND ASSOCIATED MOLECULAR GEOMETRY
|
Hybridization |
Orbitals
(simplified) |
Molecular Geometry |
|
sp |
one s + one p :: two sp hybrids |
Linear |
|
sp2 |
one s + two p's :: 3 sp2 hybrids |
Trigonal Planar |
|
sp3 |
one s + three p's :: 4 sp3 hybrids |
Tetrahedral |
|
sp3d |
one s + three p's + one d :: 5 sp3d
hybrids |
Trigonal Bipyramidal |
|
sp3d2 |
one s + three p's + two d's :: 6 sp3d2
hybrids |
Octahedral |
HYBRIDIZATION, LONE PAIRS AND ASSOCIATED
MOLECULAR GEOMETRY
MOLECULAR GEOMETRY IS DETERMINED BY THE POSITIONS OF ATOMIC NUCLEI IN THREE
DIMENSIONAL SPACE
|
Hybridization |
Orbitals with
LOne Pairs |
Molecular Geometry |
|
sp2 |
One Lone Pair in one of the sp2
hybrids |
Bent |
|
sp3 |
One Lone Pair in one of the sp3
hybrids |
Trigonal Pyramidal |
|
sp3 |
Two Lone Pairs in two of the sp3
hybrids |
Bent |
|
sp3d |
One Lone Pair in one of the sp3d
hybrids |
See Saw |
|
sp3d |
Two Lone Pairs in two of the sp3d
hybrids |
T-Structure |
|
sp3d |
Three Lone Pairs in three of the sp3d
hybrids |
Linear |
|
sp3d2 |
One Lone Pair in one of the sp3d2
hybrids |
Square-pyramidal |
|
sp3d2 |
Two Lone Pairs in two of the sp3d2
hybrids |
Square-planar |
WHAT ARE THE PROPERTIES OF COVALENT COMPOUNDS?
Covalent
compounds have the following properties (keep in mind that these are only
general properties, and that there are always
exceptions to every rule):
1) Covalent compounds generally have much lower melting and
boiling points than ionic compounds.
As
you may recall, ionic compounds have very high melting and boiling points
because it takes a lot of energy for all of the + and - charges which make up
the crystal to get pulled apart from each other. Essentially, when we
have an ionic compound, we need to break all of the ionic bonds in order to
make it melt.
On
the other hand, when we have covalent compounds we don't need to break any
bonds at all. This is because covalent compounds form distinct molecules,
in which the atoms are bound tightly to one another. Unlike in ionic
compounds, these molecules don't interact with each other much (except through
relatively weak forces called "intermolecular forces"), making them
very easy to pull apart from each other. Since they're easy to separate,
covalent compounds have low melting and boiling points.
2) Covalent compounds are soft and squishy (compared to ionic
compounds, anyway).
The
reason for this is similar to the reason that covalent compounds have low
melting and boiling points. When you hit an ionic compound with
something, it feels very hard. The reason for this is that all of the
ionic bonds which hold together the crystal tend to make it very inflexible and
hard to move. On the other hand, covalent compounds have these molecules
which can very easily move around each other, because there are no bonds
between them. As a result, covalent compounds are frequently flexible
rather than hard.
Think
of it like this: Ionic compounds are like giant Lego sculptures. If
you hit a Lego sculpture with your fist, it feels hard because all of the Legos
are stuck very tightly to one another. Covalent compounds are more like
those plastic ball pits they have at fast food playgrounds for little
kids. While the balls themselves are held together very tightly (just
like covalent molecules are held together tightly), the balls aren't really
stuck to each other at all. As a result, when little kids jump into the
ball pits they sink in rather than bouncing off.
3) Covalent compounds tend to be more flammable than ionic
compounds.
The
main reason that things burn is because they contain carbon and hydrogen atoms
that can react to form carbon dioxide and water when heated with oxygen gas
(that's the definition of a combustion reaction). Since carbon and
hydrogen have very similar electronegativities, they are mostly found together
in covalent compounds. As a result, more covalent compounds than ionic
compounds are flammable.
There
are a couple of exceptions to this rule. The first is with covalent
compounds that contain neither carbon nor hydrogen. These tend not to
burn, and if they do, they burn by mechanisms other than the classic combustion
reaction. The other exception comes with ionic compounds referred to as
"organic salts". These organic salts are ionic compounds in
which the anion is basically a big covalent molecule containing carbon and hydrogen
with just a very small ionic section. As a result, they burn even though
they're technically ionic compounds.
4) Covalent compounds don't conduct electricity in water.
Electricity
is conducted in water from the movement of ions from one place to the
other. These ions are the charge carriers which allow water to conduct
electricity. Since there are no ions in a covalent compound, they don't
conduct electricity in water.
5) Covalent compounds aren't usually very soluble in water.
There's
a saying that, "Like dissolves like". This means that compounds
tend to dissolve in other compounds that have similar properties (particularly
polarity). Since water is a polar solvent and most covalent compounds are
fairly nonpolar, many covalent compounds don't dissolve in water. Of
course, this is a generalization and not set in stone - there are many covalent
compounds that dissolve quite well in water. However, the majority of
them don't because of this rule.
INTERMOLECULAR FORCES
Intermolecular
forces are generally much weaker than covalent bonds
Thus, when a molecular
substance changes states the atoms within the molecule are unchanged.
The
temperature at which a liquid boils reflects the kinetic energy needed to
overcome the attractive intermolecular forces (likewise, the temperature at
which a solid melts). Thus, the strength of the intermolecular forces determines the physical
properties of the substance.
Attractive forces between neutral molecules
Typically,
dipole-dipole and dispersion forces are grouped together and termed van
der Waals forces (sometimes the hydrogen bonding forces are also
included with this group)
Attractive
forces between neutral and charged (ionic)
molecules
Note that all of
these forces will be electrostatic in nature
ION-DIPOLE

![]()
DIPOLE-DIPOLE
FORCES
A dipole-dipole force exists between neutral polar molecules

Boiling
points increase for polar molecules of similar mass, but increasing dipole:
|
Substance |
Molecular Mass (amu) |
Dipole moment, u (D) |
Boiling Point (°K) |
|
Propane |
44 |
0.1 |
231 |
|
Dimethyl ether |
46 |
1.3 |
248 |
|
Methyl chloride |
50 |
2.0 |
249 |
|
Acetaldehyde |
44 |
2.7 |
294 |
|
Acetonitrile |
41 |
3.9 |
355 |
Nonpolar
molecules would not seem to have any basis for attractive interactions.
A Model To Explain
Helium atoms (2 electrons)
Due to electron repulsion, a temporary dipole on one atom can induce a
similar dipole on a neighboring atom

The
ease with which an external electric field can induce a dipole (alter the
electron distribution) with a molecule is referred to as the
"polarizability" of that molecule
thus, dispersion forces tend to increase
with increasing molecular mass
HYDROGEN BONDING
A
hydrogen atom in a polar bond (e.g. H-F, H-O or H-N) can experience an
attractive force with a neighboring electronegative molecule or ion which has
an unshared pair of electrons (usually an F, O or N atom on another molecule)
Hydrogen
bonds are considered to be dipole-dipole type interactions

Water
is unusual in its ability to form an extensive hydrogen bonding network
As a liquid the kinetic energy
of the molecules prevents an extensive ordered network of hydrogen bonds METALLIC BOND
What is a metallic bond?
Metallic bonding in sodium
Metals tend to have high melting points and boiling points suggesting
strong bonds between the atoms. Even a metal like sodium (melting point 97.8°C)
melts at a considerably higher temperature than the element (neon) which
precedes it in the Periodic Table.
Sodium has the electronic structure 1s22s22p63s1.
When sodium atoms come together, the electron in the 3s atomic orbital of one
sodium atom shares space with the corresponding electron on a neighbouring atom
to form a molecular orbital - in much the same sort of way that a covalent bond
is formed.
The difference, however, is that each sodium atom is being touched by
eight other sodium atoms - and the sharing occurs between the central atom and
the 3s orbitals on all of the eight other atoms. And each of these eight is in
turn being touched by eight sodium atoms, which in turn are touched by eight
atoms - and so on and so on, until you have taken in all the atoms in that lump
of sodium.
All of the 3s orbitals on all of the atoms overlap to give a vast number
of molecular orbitals which extend over the whole piece of metal. There have to
be huge numbers of molecular orbitals, of course, because any orbital can only
hold two electrons.
The electrons can move freely within these molecular orbitals, and so
each electron becomes detached from its parent atom. The electrons are said to
be delocalised. The metal is held together by the strong forces
of attraction between the positive nuclei and the delocalised electrons.

This is sometimes described as "an array of positive ions in a sea
of electrons".
If you are going to use this view, beware! Is a metal made up of atoms
or ions? It is made of atoms.
Each positive centre in the diagram represents all the rest of the atom
apart from the outer electron, but that electron hasn't been lost - it may no
longer have an attachment to a particular atom, but it's still there in the
structure. Sodium metal is therefore written as Na - not Na+.
Metallic bonding in magnesium
If you work through the same argument with magnesium, you end up with
stronger bonds and so a higher melting point.
Magnesium has the outer electronic structure 3s2. Both of
these electrons become delocalised, so the "sea" has twice the
electron density as it does in sodium. The remaining "ions" also have
twice the charge (if you are going to use this particular view of the metal
bond) and so there will be more attraction between "ions" and
"sea".
More realistically, each magnesium atom has one more proton in the
nucleus than a sodium atom has, and so not only will there be a greater number
of delocalised electrons, but there will also be a greater attraction for them.
Magnesium atoms have a slightly smaller radius than sodium atoms, and so
the delocalised electrons are closer to the nuclei. Each magnesium atom also
has twelve near neighbours rather than sodium's eight. Both of these factors
increase the strength of the bond still further.
Metallic bonding in transition elements
Transition metals tend to have particularly high melting points and
boiling points. The reason is that they can involve the 3d electrons in the
delocalisation as well as the 4s. The more electrons you can involve, the
stronger the attractions tend to be.
The metallic bond in molten metals
In a molten metal, the metallic bond is still present, although the
ordered structure has been broken down. The metallic bond isn't fully broken
until the metal boils. That means that boiling point is actually a better guide
to the strength of the metallic bond than melting point is. On melting, the
bond is loosened, not broken.
The structure of metals
The arrangement of the atoms
Metals are giant structures of atoms held together by metallic bonds.
"Giant" implies that large but variable numbers of atoms are involved
- depending on the size of the bit of metal.
12-co-ordination
Most metals are close packed - that is, they fit as many
atoms as possible into the available volume. Each atom in the structure has 12 touching
neighbours. Such a metal is described as 12-co-ordinated.
Each atom has 6 other atoms touching it in each layer.

There are also 3 atoms touching any particular atom in the layer above
and another 3 in the layer underneath.

This second diagram shows the layer immediately above the first layer.
There will be a corresponding layer underneath. (There are actually two
different ways of placing the third layer in a close packed structure, but that
goes beyond the requirements of current A'level syllabuses.)
8-co-ordination
Some metals (notably those in Group 1 of the Periodic Table) are packed
less efficiently, having only 8 touching neighbours. These are 8-co-ordinated.

The left hand diagram shows that no atoms are touching each other within
a particular layer . They are only touched by the
atoms in the layers above and below. The right hand diagram shows the 8 atoms
(4 above and 4 below) touching the darker coloured one.
Dislocations
It would be misleading to suppose that all the atoms in a piece of metal
are arranged in a regular way. Any piece of metal is made up of a large number
of "crystal grains", which are regions of perfect regularity. At the grain boundaries atoms have become misaligned.

The grain boundaries are also known as dislocations.
The physical properties
of metals
Melting points and
boiling points
Metals tend to have high
melting and boiling points because of the strength of the metallic bond. The
strength of the bond varies from metal to metal and depends on the number of
electrons which each atom delocalises into the sea of electrons, and on the
packing.
Group 1 metals like
sodium and potassium have relatively low melting and boiling points mainly
because each atom only has one electron to contribute to the bond - but there
are other problems as well:
·
Group 1 elements are also inefficiently packed (8-co-ordinated), so that
they aren't forming as many bonds as most metals.
·
They have relatively large atoms (meaning that the nuclei are some
distance from the delocalised electrons) which also weakens the bond.
Electrical conductivity
Metals conduct
electricity. The delocalised electrons are free to move throughout the
structure in 3-dimensions. They can cross grain boundaries. Even though the
pattern may be disrupted at the boundary, as long as atoms are touching each
other, the metallic bond is still present.
Liquid metals also
conduct electricity, showing that although the metal atoms may be free to move,
the delocalisation remains in force until the metal boils.
Thermal conductivity
Metals are good
conductors of heat. Heat energy is picked up by the electrons as additional
kinetic energy (it makes them move faster). The energy is transferred
throughout the rest of the metal by the moving electrons.
Strength and workability
Malleability and
ductility
Metals are described as malleable
(can be beaten into sheets) and ductile (can be pulled
out into wires). This is because of the ability of the atoms to roll over each
other into new positions without breaking the metallic bond.
If a small stress is put
onto the metal, the layers of atoms will start to roll over each other. If the
stress is released again, they will fall back to their original positions.
Under these circumstances, the metal is said to be elastic.

If a larger stress is
put on, the atoms roll over each other into a new position, and the metal is
permanently changed.
![]()
The hardness of metals
This rolling of layers
of atoms over each other is hindered by grain boundaries because the rows of
atoms don't line up properly. It follows that the more grain boundaries there
are (the smaller the individual crystal grains), the harder the metal becomes.
Offsetting this, because
the grain boundaries are areas where the atoms aren't in such good contact with
each other, metals tend to fracture at grain boundaries. Increasing the number
of grain boundaries not only makes the metal harder, but also makes it more
brittle.
Controlling the size of
the crystal grains
If you have a pure piece
of metal, you can control the size of the grains by heat treatment or
by working the metal.
Heating a metal tends to
shake the atoms into a more regular arrangement - decreasing the number of
grain boundaries, and so making the metal softer. Banging the metal around when
it is cold tends to produce lots of small grains. Cold working therefore makes
a metal harder. To restore its workability, you would need to reheat it.
You can also break up
the regular arrangement of the atoms by inserting atoms of a slightly different
size into the structure. Alloys such as brass (a mixture of
copper and zinc) are harder than the original metals because the irregularity
in the structure helps to stop rows of atoms from slipping over each other.
ACTIVITIES
1.- Calculate the lattice enthalpy of
sodium chloride given
ΔHfθ (NaCl) =
-411 kJ mol-1
ΔHsub. (Na) = 108.3 kJ mol-1
ΔHI.E. (Na) = 500 kJ mol-1
ΔHdiss. (Cl) = 121 kJ mol-1
ΔHe.a. (Cl) = -364 kJ mol-1
Answer ΔHlatt. =
+776 kJ mol-1
(Note : ΔHat. of
an element is the energy required to form one
mole of gaseous atoms from the element.)
|
M |
X |
|||||
|
Compound |
ΔHFθ kJmol-1 |
ΔHat. kJmol-1 |
ΔHI.E. kJmol-1 |
ΔHat. kJmol-1 |
ΔHe.a. kJmol-1 |
||
|
KBr |
-392 |
+89 |
+420 |
+112 |
-342 |
||
|
BaCl2 |
-860 |
+175 |
(1st) +500 (2nd) +1000 |
+121 |
-364 |
||
|
|
|
|
|
|
|
|
|
RbF 779 CaI2 2038
BeF2 3456 CaCl2 2197
BaI2 1841 MgCl2 2489
MgBr2 2416 KCl 710
CaBr2 2125 NaF 915
CsI 607 LiF 1029
KBr 671 MgI2 2314
BaF2 2289 LiBr 804
CsBr 644 RbI 624
LiI 753 SrBr2 2046
BeI2 2803 NaBr 742
LiCl 849 SrCl2 2109
NaI 699 BeBr2 2895
BeCl2 2983 KF 813
CsCl 676 BaBr2 1937
KI 643 CaF2 2583
MgF2 2883 NaCl 776
RbCl 685 SrF2 2427
SrI2 1954 RbBr 656
CsF 735 BaCl2 2049
4. What would be the effect on lattice
energy of increasing the charge on Xn- ? (i.e.
forming a Group VI compound rather than a Group VII compound).
Describe and explain the trends.
5. Calculate the lattice energy for CaF2 (s) from the
following data: Hf (CaF2) = -1215kJ/mol, Hvap (Ca) = 192.6kJ/mol,
BE (F2) = 159kJ/mol, IE1 (Ca) = 590kJ/mol,
IE2 (Ca) = 1151.5kJ/mol, EA1 (F) = -328kJ/mol.
11. Calculate the lattice enthalpy
of sodium chloride given
ΔHfθ (NaCl) =
-411 kJ mol-1
ΔHsub. (Na) = 108.3 kJ mol-1
ΔHI.E. (Na) = 500 kJ mol-1
ΔHdiss. (Cl) = 121 kJ mol-1
ΔHe.a. (Cl) = -364 kJ mol-1
Answer ΔHlatt. = +776 kJ mol-1
12. Draw the Lewis dot structures
and resonance structures for the following. Some hints are given.
CO2 - :O::C::O: (plus two more dots for
each of O)
NO2 - .NO2 (bent molecule due to the
odd electron)
NO2- - :NO2- (same number of
electron as SO2)
HCO2- - H-CO2
O3 - (ozone, OO2 same number of electron as SO2)
SO3 - (consider O-SO2, and the resonance
structures)
NO3-
CO32-
Notice that some of the resonance
structures may not satisfy the octet rule. The NO2 molecule has an
odd number of electrons, and the octet rule cannot be satisfied for the
nitrogen atom.
13. Draw the Lewis dot structures
and resonance structures for
HNO3
H2SO4
H2CO3
HClO4
C5H5N
NO3-
SO42-
CO32-
ClO4-
Benzene C6H6
Cl2CO
The Octet rule should be applied to HNO3, NO3-,
H2CO3, CO32-, C5H5N,
C6H6, and Cl2CO.
14. Draw the Lewis structure for the following
molecules and verify their family and geometrical shape.
15. Draw the
Lewis structure for the following molecules and ions and verifiy their family
and geometrical shape.
16. Draw the Lewis structure for the following molecules
and ions. Verify their family and geometrical shape.
17. Draw the Lewis structure for these following molecules
or ions, and verify their family and geometrical shape.
http://www.sparknotes.com/chemistry/bonding/ionic/section1.html
http://www.science.uwaterloo.ca/~cchieh/cact/c120/dotstruc.html
http://www.sciencegeek.net/Activities/bornhaber.html
http://www.chem.uncc.edu/faculty/murphy/1251/slides/C19b/sld001.htm
http://www.science.uwaterloo.ca/~cchieh/cact/c120/hybrid.html
http://www.elmhurst.edu/~chm/vchembook/210polarity.html
http://www.chemistrycoach.com/tutorials-1.htm