|
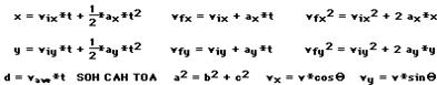
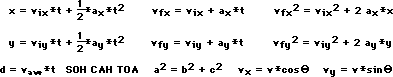
displacement = velocity * time |
distance = speed * time |
Fnet = m * a |
1. While Dexter is on a camping
trip with his boy scout troop, the scout leader gives
each boy a compass and a map. Dexter's map contains several sets of directions.
One of the directions in Dexter's set reads
Walk 4 km north and
then walk 8 km at 30º south of west.
In the space below, utilize the
scale of 1 cm = 1 km and the head-to-tail addition method in order to determine
the resultant displacement for this set of directions. Label the magnitude of
each vector. Place arrowheads on each vector. Clearly label the resultant,
along with its magnitude and direction. Construct a clear and accurate diagram.
2. Rosa Bote
is navigating the
a.
Use
the Pythagorean theorem to determine the resultant
velocity (both magnitude and direction) of the boat?
b.
If the
river is 120 meters wide, then how much time did it take
c.
How
far downstream will Rosa Bote be when she reaches the
other side?
d.
How
much time will it take the boat to go shore to shore on Wednesday if the
current velocity is 1.5 m/s, South? Support your
answer with a calculation or explanation.
3. A pack of Arctic wolves discover the carcass of a
dead bear. A tug-of-war ensues as four wolves begin pulling in different
directions upon the carcass. A top view of the four
horizontal forces are shown in the sketch (unscaled)
to the right. Assume that the vertical (up and down) forces (Fgrav and Fnorm) cancel each
other out.
a.
Use
some method of vector addition to determine the resultant (vector sum) of all
four vectors. Clearly explain your work and show your calculations in the space
below for full credit.
b.
Determine
the acceleration of the 200-kg carcass at the instant shown in the diagram
above.
4. Kent Findhisway,
a visitor to the school, meets you in the doorway of the physics classroom
(Room 159) and wants directions to the Autos Courtyard. Being entrenched in the
subject of vectors, you decide to describe the necessary movement using a
series of displacement vectors. Using complete sentences, describe the
necessary displacements (magnitude and direction) which will take

1. Consider
the map of the


2. Aaron Agin is
adding vectors for his homework assignment. In his hurry, he failed to identify
the resultant. What was Aaron trying to add (A + B + C or B + A + D or ...) and
which one of the vectors is the resultant? Answer each question clearly and
give an explanation using complete sentences.
Aaron was trying to
add __________.
The resultant is
vector _________.
Explanation:
3. Choose a scale
and draw an accurately drawn vector addition diagram to determine the resultant
of the following two vectors. In your diagram:
a.
clearly indicate the scale
b.
place arrowheads upon all vectors
c.
label the magnitude and direction of each vector
d.
label the resultant as R.
Indicate the the magnitude and direction of
the resultant.
4 m/s, 45 degrees + 3
m/s, 315 degrees
4. In the Vector
Addition Lab, the following data was collected for determining the displacement
from the door of the Physics classroom to location 21E. Anna Litical (that bright young lady who knows all the answers)
decides to determine the resultant the quick way. She first simplified her data
into a pair of east-west and north-south vectors and then used the Pythagorean
Theorem to determine the resultant displacement from the physics classroom to
her assigned location.

Use Anna's method to
determine the resultant displacement.

1. Rosa Bote
is navigating the
a.
Use
the Pythagorean theorem to determine the resultant
velocity (both magnitude and direction) of the boat?
b.
If the
river is 120 meters wide, then how much time did it take
c.
How
far downstream will Rosa Bote be when she reaches the
other side?
d.
How much time will it take the boat to go shore to
shore on Wednesday if the current velocity is 1.5 m/s, South?
Support your answer with a calculation or explanation.
|
|
2. An airplane leaves
O'Hare and flies with an average velocity of 500 km/hr, 120-degrees towards a
Canadian destination (see diagram at the right). Use trigonometric methods to
determine the northward and westward components of the velocity vector. Show
your work in the space provided. vnorth
=_____________ vwest =
_____________ Show Calculations Here: |
If the Canadian border is
1500 km due North of O'Hare, then how much time will elapse before the plane
flies over the Canadian border? Show a clear calculation.
3. The trajectory (path) of a
projectile is _____________________.
4. Li Ping Phar,
the famous Chinese ski jumper, leaves the ramp with an initial velocity of 34.9
m/s at an angle of 35 degrees. Assume that the skier lands at the same height
as the top of the ramp and that the skier is a projectile. Use trigonometric
functions, kinematic equations, and an understanding
of projectile motion to answer the following questions.
a.
Determine
the horizontal and vertical components of the initial velocity.
|
vx= __________ |
vy= __________ |
b.
Fill in the blanks in the table at the right, thus
showing how the horizontal and vertical velocity changes with time.
c.
At
what time is Li Ping Phar at the peak of her
trajectory? Explain.
5. The diagram below depict the trajectory of a projectile; the position of the
projectile after each consecutive second is shown. The arrows depict the
horizontal and vertical components of the velocity. Use your understanding of
projectiles to fill in the blanks in the diagram.


For Questions #1-5: A
ball is projected into the air at an angle to the horizontal. The ball
subsequently undergoes projectile motion, rising towards its peak and subsequently
landing at the same vertical position a horizontal distance of 20-m away. Use
this scenario to answer the following questions.
1. Which of the following
describe the horizontal velocity of a projectile? List all that apply.
a. constant magnitude
b. changes by 10 m/s every second
c. initially directed in one direction and later in the
opposite direction
d.
is 0
m/s throughout the entir trajectory
e.
is 0
m/s at the peak of the trajectory
2. Which of the following
describe the vertical velocity of a projectile? List all that apply.
a. constant magnitude
b. changes by 10 m/s every second
c. initially directed in one direction and later in the
opposite direction
d. the same at the beginning as at the end
e. is 0 m/s at the peak of the trajectory
3. Which of the following
describe the horizontal acceleration of a projectile? List all that apply.
a. 0 m/s/s
b. changing magnitude
c. has a magnitude of 10 m/s/s
d. initially directed in one direction and later in the
opposite direction
e. none of the above are true
4. Which of the following
describe the vertical acceleration of a projectile? List all that apply.
a. has a magnitude of 10 m/s/s
b. changing magnitude
c. is always directed in the direction which the object
moves
d.initially directed in one direction and later in the opposite
direction
e. 0 m/s/s
5. At
the instant when a projectile reaches the peak of is trajectory, ____.
a. there are no forces acting upon the projectile
b. the acceleration of the projectile is 0 m/s/s
c. the vertical velocity is 0 m/s
d. the horizontal velocity is 0 m/s.
e. ...nonsense! None of these
are true.
For Questions #6-9: A
2.0-kg projectile is launched at an angle to the horizontal. Initially, its
horizontal velocity is 30 m/s and its vertical velocity is 20 m/s. Use this
information to answer the following questions.
6. The projectile will be in the
air for a time of approximately ____ seconds.
|
a. 1.5 |
b. 2.0 |
c. 3.0 |
d. 3.3 |
|
|
e. 4.0 |
f. 5.0 |
g. 6.0 |
h. 10.0 |
|
7. At the peak of its
trajectory, the net force acting upon the projectile is _____ N.
|
a.
0 N |
b.
10 N |
c.
20 N |
d.
30 N |
|
|
e.
40 N |
f.
50 N |
g. 60 N |
h. 100 N |
|
8. The projectile will
experience a horizontal displacement of _____ m.
|
a. 0 |
b. 10 |
c. 20 |
d. 20 |
|
|
e. 40 |
f. 50 |
g. 60 |
h. 90 |
i. 100 |
9. In the moments after its
initial projection, the projectile has ______. Include all that apply.
a. a greater horizontal velocity than its vertical
velocity
b. a greater horizontal acceleration than its vertical
acceleration
c. a greater horizontal net force than its vertical net
force
d. an upward velocity and a downward acceleration
e. an upward velocity and an upward acceleration
![]()
10. On the diagrams below, draw
arrows to represent the forces which act upon the football before it reaches
the peak, at the peak, and after it reaches the peak. Assume the football is a
"projectile" that is moving through the air from left to right. Label
the force(s) according to type.

![]()
11. A golf ball leaves the club
with an initial velocity of 68.2 m/s at an angle of 22.4 degrees. Determine the
horizontal and vertical velocity components (i.e., vix
and viy).
Demonstrate your understanding
of projectiles by filling in the following table for a projectile launched at
an angle to the horizontal. (Note that the initial horizontal and vertical
velocities are given.)
|
Time (s) |
vx (m/s) |
vy (m/s) |
ax (m/s/s) |
ay (m/s/s) |
|
0 |
20 |
30 |
|
|
|
1 |
|
|
|
|
|
2 |
|
|
|
|
|
3 |
|
|
|
|
|
4 |
|
|
|
|
|
5 |
|
|
|
|
|
6 |
|
|
|
|
Problem-Solving:
13. A soccer ball is kicked
horizontally off a 22.0-meter high hill and lands a distance of 35.0 meters
from the edge of the hill. Determine the initial horizontal velocity of the
soccer ball.
14. A football is kicked with an
initial velocity of 25 m/s at an angle of 45-degrees with the horizontal.
Determine (a) the total time of flight, (b) the horizontal distance, and (c)
the peak height of the football.
1. Utilize a scaled
vector diagram in order to determine the resultant (both the magnitude and the
direction) of the following two forces. NOTE:
The two forces are not at right angles.
|
50 N, 135 degrees |
70 N, 300 degrees |
On your diagram, be
sure to indicate the scale, place arrowheads on all vectors, label the
magnitude and direction of each vector, and clearly label the resultant.
2. Add at least
two forces to each of the following three objects so
that the objects will be at equilibrium. Each force which you add must either
be horizontal or vertical. Clearly label their magnitude and indicate their
direction by a clearly drawn arrowhead.

3. On the following
diagrams, fill in all blanks and determine the acceleration (both magnitude and
direction) of the object. Clearly show your calculation for the acceleration.
Diagram A

Acceleration = _________
Calculations:
Diagram B

Acceleration = _________
Calculations:
4. For Diagram B
above, determine the distance which the object will be moved if the forces act
upon the object for 2.0 seconds. The object is initially at rest. PSYW
5. Consider the free-body diagram on the
right and the position-time and velocity-time graphs below. Which one(s) of the
graphs below would be a possible representation of the motion of the object
depicted in the free-body diagram? Circle any correct graphs. For the incorrect
graphs, clearly explain what is incorrect using complete sentences.


1. If an object is
at equilibrium, then the object must
a.
be at rest
b.
be moving at constant speed
c.
be moving in the same direction
d.
have an acceleration of 0 m/s2.
e.
none of the above
2. If an object is
at equilibrium, then all the individual forces which act upon it must be equal.
TRUE or FALSE
3. A 10-kg rock is
moving through space (far from the influence of gravitational forces) at a
constant speed of 1000 m/s. The amount of force required for it to maintain
this state of motion is
a.
0 N
b.
100 N
c.
1000 N
d.
10000 N
e.
none of the above
4.Two strings are used to suspend a 2-kg
object. The object is at equilibrium (see diagram at right). The resultant of
all three forces would be closest to
a.
O N
b.
10 N
c.
20 N
d.
28 N
e.
48 N

5. On the following
diagram, fill in all blanks and determine the acceleration (both magnitude and
direction) of the object. Clearly show your calculation for the acceleration.

6. For the above
diagram, determine the distance which the object will be moved if these forces
act upon the object for 2.0 seconds. The object is initially at rest. PSYW
7. Add at least two
forces to each of the following three objects so that the objects will be at
equilibrium. Each force which you add must either be horizontal or vertical.
Clearly label their manitude and indicate their
direction by a clearly drawn arrowhead.

8. A 10-kg object is
pulled across a rough surface at a constant velocity of 0.5 m/s. Utilize
Newton's second law and an understanding of vector resolution in order to fill
in the blanks in the diagram below.

9. Troy Ginometri, owner of the local floral shop, displays the
sale of the month in the front window of his shop. The 20-kg flower pot is
suspended by three ropes from the ceiling. The ropes make an angle of 30° with
the vertical. Utilize a sketch and a trigonometric function to determine the
tension in one of the ropes. PSYW

![]()
1. Three pictures of equal
weight (20 N) are hung by wires in three different orientations. In which
orientation are the wires least likely to break? Circle the correct answer.

2. A pair of forces of magnitude
5 N and 4 N are added together with a variety of directions. The maximum
possible resultant which could be obtained is
a.
0 N
b.
1 N
c.
5 N
d.
9 N
e.
20 N
3. A pair of forces of magnitude
5 N and 4 N are added together with a variety of directions. The minimum
possible resultant which could be obtained is
a.
0 N
b.
1 N
c.
5 N
d.
9 N
e.
20 N
4. A boat is rowed at 8 km/hr,
east in a river which flows at 6 km/hr, north. The resultant speed of the boat
is
a.
2
km/hr
b.
6
km/hr
c.
8
km/hr
d.
10
km/hr
e.
14
km/hr
5. A 50-N force is applied at an angle of 30 degrees
north of east. This would be the same as applying two forces at
a.
43 N,
east and 7 N, north
b.
35 N,
east and 15 N, north
c.
25 N,
east and 25 N, north
d.
43 N,
east and 25 N, north
6. If an object is at
equilibrium then it must
a.
be
at rest.
b.
be
moving with a constant speed.
c.
not be
accelerating
d.
none
of these
7. A northeast and a southeast
vector are being added using the parallelogram method. Which diagram below
illustrates the correct method of adding two such vectors.

8. What is the resultant
velocity of a 5-ton airplane that normally flies at 200 km/hr if it experiences
a 50-km/hr tailwind? Explain your answer.
9. When hanging clothes on a
clothesline, is it best to arrange the clotheline so
that it is entirely horizontal or so that it has some sag in it? Clearly
explain your answer using your understanding of vector components.
10. A 1000-N force is applied at
30° east of south to a 200-kg railroad car. Use trigonometric functions to
determine the eastward and southward components of this force. Please show your work below.

Show your work:
The southward component of force
on the above railroad car is balanced by the northward normal force of the
track pushing against the wheels of the railroad car. There is a frictional
force of 400 N directed westward. Determine the acceleration of the 200-kg
railroad car. PSYW
11. After its most recent
delivery, the infamous stork announces the good news. If the sign has a mass of
10 kg, then what is the tensional force in each cable? Use trigonometric
functions and a sketch to determine the answer. Clearly show and label all your
work.

![]()
1. Three pictures of equal
weight (20 N) are hung by wires in three different orientations. In which
orientation is the tension in the wires the least? Circle the correct answer
and explain your reasoning using complete sentences.

2. Forces of 5 N and 12 N act at right angles on a point. The magnitude of their
resultant in N is
|
a. 7 |
b. 11 |
c. 13 |
d. 17 |
e. 60 |
3. The resultant of a number of
concurrent forces which are in equilibrium
a.
depends
on the angles between them
b.
depends
on the number of forces
c.
depends
on magnitudes and angles
d.
depends
on all three (a,b, & c)
e.
is
zero
4. Which one(s) of the following
force diagrams depict an object moving to the right with constant speed? Write
all possible answers (if any) in the blank: ________________

Explain your answer(s) to this
question.
5. A force of 50 N acts upon an object at an angle of
30 degrees above the horizontal. This single force would be equivalent to two
forces with magnitudes and directions of approximately
a.
25 N, right
and 25 N, up
b.
43 N,
right and 7 N, up
c.
43 N,
left and 7 N, down
d.
43 N,
right and 25 N, up
e.
more
than one of the above answers would be possible
6. If an object is at
equilibrium, then all the individual forces which act upon it must be equal.
TRUE or FALSE
|
7. Use your understanding of
force relationships and vector components to fill in the blanks in the
following diagram and to determine the net force and acceleration of the
object. |
|
|
Fnet = ________________ a = __________________ |
8. Troy Ginometri,
the 28-year old owner of the local floral shop, displays the sale
of the month in the front window of his 2-story shop.
The 4.0-kg flower pot (having a cricumference of
50-cm) is suspended by three ropes from the ceiling. The ropes make an angle of
30-degree with the vertical (i.e., a 60-degree angle with the horizontal).
Determine the tension in one of the ropes. Begin with a clearly drawn sketch of
a triangle depicting known information and proceed with the use of a
trigonometric function and algebra to determine your answer. Partial credit is
given only for work which is clearly organized and sensible. PSAYW
9. A 0.50 kg soccer ball is
kicked from the top of a 14.0-meter cliff with a horizontal speed of 28.0 m/s.
What distance from the bottom of the cliff does the ball land? Please show your
work in an organized fashion (listing known and unknown values) to receive
partial and full credit.
1. Three pictures of equal
weight (20 N) are hung by wires in three different orientations. In which
orientation is the tension in the wires the least? Circle the correct answer.

2. Forces of 5 N and 12 N act at right angles on a point. The magnitude of their
resultant in N is
a.
7
b.
11
c.
13
d.
17
e.
60
3. The resultant of a number of
concurrent forces which are in equilibrium
a.
depends
on the angles between them
b.
depends
on the number of forces
c.
depends
on magnitudes and angles
d.
depends
on all three (a,b, & c)
e.
is
zero
4. A horizontal force of 100 N
is needed to pull a sled forward. If the rope pulling the sled makes an angle
of 30-degrees with the horizontal, the tension in the rope (in N) must be
approximately
a.
50
b.
87
c.
115
d.
200
5. A 1.40-kg "Eat at Ed's" sign is hung
symmetrically between two strings. The angle between the strings is 100°. Draw
a clear and meaningful triangle and use trigonometric functions to predict the
tension in a single string. PSYW
6. A 50-kg crate is placed on a
45° inclined plane. The coefficient of friction between the crate and the plane
is 0.20. Fill in the blanks in the diagram and determine the acceleration of
the crate down the plane. Clearly show your work for the acceleration
calculation.

7. A 10-kg object is pulled
across a rough surface. The velocity-time graph for its motion is shown at the
right. Utilize

8. Jack and Jill climbed up a
hill which had a 30° incline. They boarded a sled, with physics in head, and
tried to find their accelerashine. Assuming that the
surface is frictionless and that the combined mass of Jack, Jill, and the sled
is 180 kg, determine their acceleration. Utilize a free-body diagram if
necessary. PSAYW
Demonstrate your understanding
of acceleration by filling in the velocity-time table for the motion of Jack and
Jill down the hill.
