MÉTODO  DE  SIMPSON

Descrición

    Unha mellor aproximación que a conseguida co método dos rectángulos ou co dos trapecios lógrase co método de Simpson, que consiste en aproximar a función mediante un polinomio de segundo grao que pase polos extremos e polo punto medio da función en cada subintervalo.
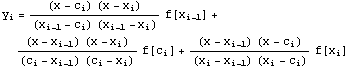
Para integrar a función f(x) no intervalo [Graphics:Images/index_gr_1.gif] facendo n subintervalos de amplitude [Graphics:Images/index_gr_2.gif], para cada subintervalo [Graphics:Images/index_gr_3.gif], chamando ao punto medio [Graphics:Images/index_gr_4.gif], temos que a parábola está definida por: (utilizamos o polinomio de interpolación de Lagrange)
[Graphics:Images/index_gr_5.gif]
integrando a parábola entre [Graphics:Images/index_gr_6.gif] e [Graphics:Images/index_gr_7.gif],  e substituíndo [Graphics:Images/index_gr_8.gif]  por h obtemos
[Graphics:Images/index_gr_9.gif]

[Graphics:Images/index_gr_10.gif]

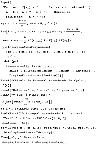
Algoritmo

[Graphics:Images/index_gr_11.gif]
[Graphics:Images/index_gr_12.gif]
[Graphics:Images/index_gr_13.gif]
[Graphics:Images/index_gr_14.gif]
[Graphics:Images/index_gr_15.gif]

A integral aproximada é:  2.0000067844418011042

[Graphics:Images/index_gr_16.gif]