05. Poliedros Regulares


Debes encher os  ocos de máis abaixo escribindo respostas numéricas. Cando enchas todos os ocos, preme sobre o botón "comprobar respostas". As respostas correctas incorpóranse ó texto; as incorrectas deben ser introducidas novamente nos ocos que quedan en branco,

Volver á páxina de entrada.

 

 

Este é o significado dos encabezamentos que aparecen na primeira columna da táboa que hai máis abaixo:
C: Número de caras.
V: Número de vértices.
A: Número de arestas.
p: Número de arestas que forman cada cara.
q: Número de arestas que concorren en cada vértice.
Ang.: Valor numérico da medida de cada un dos ángulos interiores das caras, tomando como unidade graos sesaxesimais.
Ang_Died.: Valor da medida de cada ángulo diedro formado por dúas caras, expresado en graos, minutos e segundos sesaxesimais.
Ang_Died_D; Expresión en decimais de grao dos correspondentes valores facilitados na fila anterior. (Exemplo: 30º 30’ = 30.5º). As respostas que non sexan números enteiros expresaranse con catro cifras decimais, facendo redondeo para esa cuarta cifra.
Área: Fórmula para calcular a medida da superficie do poliedro. a representa a medida dunha aresta do poliedro
Área, a=1: Valor decimal da área tomando a=1 unidade. As respostas que non sexan números enteiros expresaranse con catro cifras decimais, facendo redondeo para esa cuarta cifra.
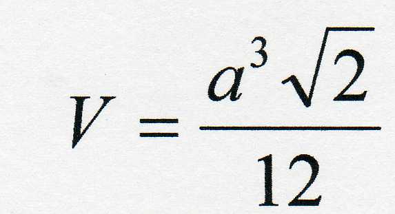
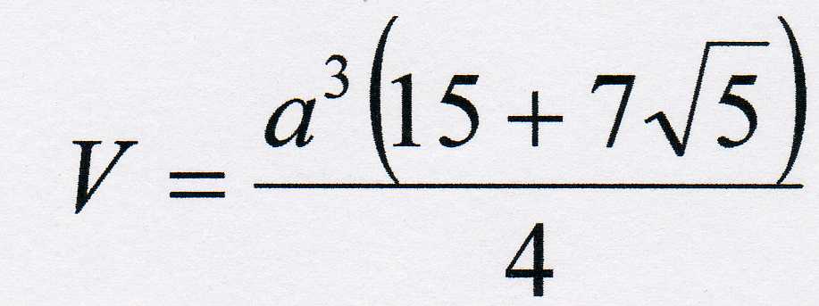
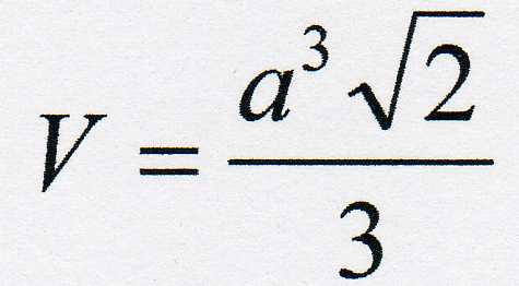
Volume: Fórmula para calcular a medida do volume do poliedro.
Volume, a=1: Valor decimal do volume tomando a=1 unidade. As respostas que non sexan números enteiros expresaranse con catro cifras decimais, facendo redondeo para esa cuarta cifra.

Tetraedro CuboOctaedro Icosaedro Dodecaedro
C
V
A
p
q
Ang.º º º º º
Ang_Died.70º 31' 44'' 90º109º 28' 16'' 138º 11' 23''116º 33' 54''
Ang_Died_Dº º º º º
Área
Área, a=1
Volume
Volume, a=1



Volver á páxina de entrada.