Salir
Inorgánica
Orgánica
Hidrocarburos
Compuestos hologenados
Compuestos oxigenados
Compuestos nitrogenados
Compuestos con azufre
Compuestos organometálicos
Ejercicios
Aldehidos
Ejercicios
¿Nombra las siguientes moléculas?
C)
Solución:
Aplicando las reglas.
3-fenil-hexanodial
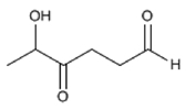
D)
Solución:
Aplicando las reglas .
5-hidroxi-4-oxohexanal
© Mariano Pazos Afonso. Curso 2009-10