Códigos de Redundancia Cíclica (CRC)

De Wiki do Pazo da Mercé

(Diferenzas entre revisións)
Liña 5: Liña 5:
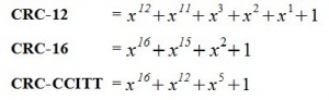
Existen tres polinomios xeradores utilizados nos CRC que se converteron en normas internacionais:
Existen tres polinomios xeradores utilizados nos CRC que se converteron en normas internacionais:
-
[[Imaxe:Polinomioscrc.jpg]]
+
 
 +
[[Imaxe:Polinomioscrc.jpg|300px]]

Revisión como estaba ás 23:39, 9 decembro 2008

Estes códigos baséanse no tratamento de series de bits como se fosen representacións de polinomios, con coeficientes de valor 0 e 1, unicamente. Emisor e receptor realizan operacións de división sobre estes polinomios, de forma que poden detectar cando se produciu un erro. Os códigos de redundancia cíclica son moi utilizados en distintos protocolos de comunicación.

Estes algoritmos soen estar implementados no propio hardware dos dispositivos de comunicación (tarxetas de rede, switchs, etc.), o que supón unha maior velocidade a hora de detectar un erro. Os métodos CRC soen detectar tanto erros simples como ráfagas de erros sempre que os polinomios utilizados sexan suficientemente grandes.

Existen tres polinomios xeradores utilizados nos CRC que se converteron en normas internacionais:


Ferramentas persoais
Crear un libro