1.- En cierto mercado compiten tres marcas de cierto producto de consumo que se adquiere semanalmente. Efectuando un sondeo entre los establecimientos minoristas en los que se vende se estima que, de cada cien consumidores del producto, en la semana que ahora termina diez adquirieron la marca 1, veinte la marca 2 y setenta la marca 3. Se ha realizado, además, un sondeo sobre la intención de compra de los consumidores y se ha llegado a la conclusión de que:
De cada 100 consumidores que adquirieron la marca 1 la pasada semana, 50 volverán a adquirirla, 10 cambiarán a la 2 y el resto adquirirá la tres.
Con relación a la marca 2, de cada 100 que la adquirieron la pasada semana, 80 la volverán a adquirir, 10 cambiarán a la 1, y otros 10 a la 3.
En cuanto a la marca 3, de cada 100 adquirientes la última semana, 30 cambiarán a la 1, 20 a la 2 y el resto volverán a adquirir la misma.
Se desea estimar las cuotas de mercado de las tres marcas en la semana finalizada y prever las de la próxima.
Suponiendo que las proporciones de consumidores que cambian de marca permanezcan estables, calcula la cuota de mercado a largo plazo.
2.- Una persona puede escoger entre tres restaurantes para comer diariamente. si un día escoge el restaurante A, al día siguiente escoge el B y al día siguiente del B siempre el C, pero cuando va a C es igualmente probable que al día siguiente vaya a A o a B. Escribir la matriz de transición del proceso y calcular:
a. la probabilidad de que vaya a B tres días después de ir a A.
b. Las probabilidades absolutas de ir a cada restaurante cuatro días después de ir a B.
c. El promedio de veces que va a cada restaurante.

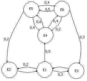
3.- Dado el sistema de la figura calcula:
a. La matriz de transición
b. La distribución estacionaria.
c. La probabilidad de estar en el estado 6 dentro de 5 etapas si ahora está en el estado 3
d. El promedio de veces que el sistema se encuentra en el estado 4.
4.- Un agente comercial realiza su trabajo en tres ciudades gallegas: La Coruña, Ferrol y Santiago. Para evitar desplazamientos innecesarios está todo el día en la misma ciudad y duerme en ella, desplazándose a otra al día siguiente, si no tiene suficiente trabajo. Después de estar trabajando un día en La Coruña, la probabilidad de tener que seguir trabajando en ella al día siguiente es de 0.4, la de tener que viajar a Santiago es 0.4y la de tener que ir a Ferrol es de 0.2. si el viajante duerme un día en Santiago, con probabilidad del 20% tendrá que seguir trabajando en la misma ciudad al día siguiente, en el 60% de los casos viajará a La Coruña, mientras que irá a Ferrol con probabilidad 0.2. Por último, si el agente comercial trabaja todo un día en Ferrol, permanecerá en al misma ciudad , al día siguiente, con una probabilidad de 0.1, irá a Santiago con una probabilidad de 0.3 y a La Coruña con probabilidad 0.6.
¿Cuáles son los porcentajes de días en los que el agente comercial está en cada una de las tres ciudades?.
5.- Pedro es un lector aficionado a la ciencia ficción, novela policíaca y astronomía. Cada semana se compra un libro. Si ahora está leyendo novela policíaca, hay un 70% de probabilidades de que la semana que viene lea astronomía. Nunca lee dos novelas policíacas seguidas. Si está leyendo ciencia ficción hay un 75% de que lea astronomía y un 25% de que lea una novela policíaca. Después de leer astronomía siempre lee una novela policíaca.
a. Calcula el porcentaje de libros de astronomía que tiene en casa después de 5000 semanas.
b. Calcula la probabilidad de leer ciencia ficción en cualquiera de las tres semanas siguientes a la lectura de un libro de astronomía.
6.- Una centralita telefónica se revisa cada día, pudiendo estar en perfectas condiciones o bien presentar dos tipos distintos de avería (leve o importante). Se supone que el estado de la centralita en un día depende del estado del último día observado. Así, si un día la centralita funciona correctamente, la probabilidad de que al día siguiente también lo haga es de 0.95, la de que tenga avería leve es de 0.04 , mientras que la de avería importante es de 0.01. En el 75% de los casos en los que la centralita tenga una avería leve, esta es reparada de manera que funcione correctamente al día siguiente. En el 20% de los casos, la avería leve persiste al siguiente día, mientras que en el restante 5% se agravará. Cuando la centralita tiene una avería importante pueden ocurrir dos cosas: se repara al día siguiente (con una probabilidad de 0.2) o sigue teniendo la avería grave. Se pide:
a. Encontrar el grafo y la matriz de transición de la cadena de Markov asociada al enunciado.
b. Si la centralita funciona correctamente un día, ¿cuál es la probabilidad de que dentro de 8 días también esté en perfectas condiciones?
c. A largo plazo, ¿cuánto valen las probabilidades de que la centralita funcione bien, la de que tenga avería leve y la de que tenga avería grave?
7.- En un instituto hay dos fotocopiadores iguales, que inicialmente se suponen en funcionamiento. A lo largo de un día, cada fotocopiadora se avería con una probabilidad de ¼. Al final de la jornada laboral se da parte de las averías producidas a la empresa de mantenimiento que las repara en 24 horas (pero no antes).
a. ¿Cuál es la distribución del número de fotocopiadoras que están en servicio en el cuarto día?
b. ¿Cuál es el porcentaje de días en los que el instituto no tiene ninguna fotocopiadora disponible?
8.- En la maravillosa tierra de Oz el tiempo funciona de la siguiente manera:
Hay tres posibilidades, bien nieva, bien llueve o bien hace sol. Nunca nieva dos días seguidos y si un día lo hace la probabilidad de que al siguiente llueva es de 1/3. Después de llover no nieva nunca y hay una probabilidad de 3/4 de que haga sol. Si un día hace sol al día siguiente nieva un 20% de las veces y llueve un 25%.
a. Dibuja un grafo que represente el clima en la tierra de Oz.
b. Obtén la matriz de probabilidades.
c. Calcula el porcentaje de días que nieva.
d. Si hoy hace sol ¿cuál es la probabilidad de que dentro de 2 días llueva?. ¿Y dentro de 10 días?. ¿Qué observas?