REGRESIÓN E CORRELACIÓN
Estatística e probabilidade

1. RECTA DE REGRESIÓN

Supoñamos que nunha variable bidimensional queremos precisar a relación que existe entre as dúas variables que a forman. En concreto queremos expresar mediante unha relación como depende unha delas (variable dependente) da outra (variable independente). Normalmente elíxese como y a variable dependente e como x a independente.

Se esa relación se expresa mediante unha función lineal do tipo y = ax + b, a súa gráfica correspondería a unha recta.

No caso que nos ocupa interésanos a recta que mellor "a axuste" aos puntos da nube de puntos da variable. A devandita recta denomínase: recta de regresión.

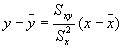
Por un método que se denomina de "mínimos cadrados" e a concreción do cal non corresponde a este nivel de estudio, dedúcese que a recta de regresión debe pasar polo punto correspondente ás medias de ambas as dúas variables e que debe ter por pendente a covarianza dividida pola varianza da variable x.

Con iso a expresión da recta de regresión será:

Esta é a chamada "Recta de regresión de e sobre x". Se se desexase estudar a dependencia de x respecto a y só habería que cambiar na expresión da recta x por y, obténdose a recta regresión de x sobre y.

Na imaxe seguinte móstrase a recta de regresión de y (peso) sobre x (talle) do exemplo 1 deste tema. Neste caso suponse que represente como depende o peso dunha persoa do seu talle.

Se recordamos que entre o talle e o peso diciamos que existía unha dependencia directa, a recta de regresión confírmao xa que a súa pendente é positiva: a medida que aumenta o talle aumenta o peso. Polo tanto:

Dependencia directa - Pendente da recta positiva - Función crecente.

Pero ¿que utilidade ten a recta de regresión?

Na táboa de valores da variable talla - peso, soamente nos dan os valores dun determinado número de persoas (10 neste caso): as persoas das que se coñecen os devanditos valores. Mediante a recta de regresión poderiamos obter de xeito aproximado o peso dunha persoa da que coñecésemos o talle, nunha poboación semellante a aquela da que se obtivo a mostra.

Se observamos a gráfica anterior, poderiamos supoñer por exemplo que unha persoa de 185 cm pesaría algo máis de 80 kg.

De xeito máis preciso, se coñecemos a expresión da recta de regresión, pódense calcular valores para a variable e, coñecidos os de x, coma se se tratase dunha función.

Exemplo 4. - A recta de regresión da variable y (talle) sobre x (peso) será a recta:

- que pasa polo punto (172,6; 66,3)

- ten de pendente: 55,32 / 50,71 = 1,0909

Recta: y -66,3 =1,0909 ( x -172,6) que operando e simplificando queda:

y = 1,0909x -121,9

O valor do peso que supoñiamos aproximado para un talle de 185 cm sería: Peso= 1.0909 · 185 - 121,9 =79.9

Este valor obtido é algo menor ao esperado. Iso quere dicir que as predicións feitas coa recta de regresión non son exactas. No apartado seguinte precisaremos a súa "fiabilidade".

Polo tanto a recta de regresión pódese utilizar para realizar predicións para a variable y a partir de valores coñecidos da variable x.

1. - Observa a táboa de valores seguinte e a escena onde os devanditos valores están representados. Na escena aos pares de valores chamámolo (a,a1); (b,b1); etc.

x 2 4 6 8 10 12
y 8 7 7 6 6 4

2. -Calcular a recta de regresión de y sobre x. Débese obter os valores seguintes:

Media de x: 7 ; Media de y: 6,33 ; covarianza: -3,99 ; varianza de x: 11,66 e con iso:

recta de regresión: y =-0,342 x +8,72

3. -¿Como é a pendente ? ¿que tipo de dependencia existe entre as variables?

4. - Dá algúns valores a x e obtén os correspondentes a y segundo a recta de regresión. Comproba na escena se os valores obtidos son correctos.

5. -Cambia os valores iniciais da táboa na escena vendo como varía a recta de regresión e calcúlaa nos casos que se desexe (por exemplo un caso en que a pendente da recta sexa positiva).


2. COEFICIENTE DE CORRELACIÓN

Unha vez observado que nunha variable bidimensional existe certa dependencia entre as dúas características ou variables que a forman (nube de puntos e covarianza), podemos precisar o grao da devandita dependencia.

- Se os puntos da nube estivesen todos sobre a recta de regresión diríase que existe unha dependencia funcional. Do seu estudio encárganse as funcións.

- Se os puntos non están todos sobre a recta de regresión se di que entre as variables hai certa correlación lineal. Este é o caso que nos ocupa. Para cuantificar o grao da devandita correlación úsase o:

Coeficiente de correlación de Pearson. Se o chamamos r, o seu valor é:

Pode observarse que o signo do coeficiente de correlación é o mesmo que o da covarianza e pode deducirse que o seu valor esta comprendido entre -1 e 1.

Na escena seguinte engadiuse o valor do coeficiente de correlación.

1. -Observa que se poden deducir as seguintes conclusións relativas ao coeficiente de correlación (r):

- O seu signo é o mesmo da covarianza, logo se r é positivo a dependencia é directa e se é negativo inversa.

- Se r se achega a -1 ou a +1, a dependencia é forte e polo tanto as predicións que se realicen a partir da recta de regresión serán bastante fiables.

- Se r se achega a 0 a dependencia é débil e polo tanto as predicións que se realicen a partir da recta de regresión serán pouco fiables.

2. - Calcular o coeficiente de correlación para a variable talle - peso e deducir do seu valor o tipo de dependencia e a fiabilidade das predicións. (Sol: r = 0,90)


3. EXERCICIOS DE APLICACIÓN I

Na escena seguinte pódese observar un exemplo de dependencia funcional (r =1).

1. -Escribe no caderno de traballo dúas táboas de valores:

a) A dependencia sexa forte e directa

b) A que a dependencia sexa débil e inversa

2. -Calcula a recta de regresión e o coeficiente de correlación en ambos os dous casos e usa a escena para comprobar os valores obtidos.

3. -Cambia tamén os valores da escena cantas veces desexes observando os resultados.

4- Calcular a covarianza e o coeficiente de correlación correspondente ao exemplo 2 do tema (fillos-fillas) deducindo diso o tipo de dependencia e a súa intensidade. Obsérvese que neste caso os pares de valores se repiten en moitos casos. Débese consultar un libro do tema ou ao profesor se se ten dúbida para calcular as diversas medidas.


4. EXERCICIOS DE APLICACIÓN II

A táboa seguinte mostra a latitude e temperatura media de 6 cidades europeas. Utiliza a escena que se achega e cambia nela os valores iniciais polos da táboa (recorda que os valores de (x, y) chámanse na escena (a, a1); (b, b1), etc.

Cidade

Atenas

Lisboa

Madrid

Londres

Paris

Copenhague

Latitude (y)

37

39

40

53

49

54

Temperatura (x)

24

19

19

14

15

49

1. -Calcula as medidas necesarias, a recta de regresión e o coeficiente de correlación comparando os resultados cos da escena.

2.- ¿Pódese dicir que as cidades máis ao norte ten unha temperatura media menor? ¿cúmprese en todos os casos?

3- ¿Cal podería ser a temperatura media dunha cidade que se atopa a 60º de latitude norte? ¿e a doutra que se atope a 20º?

4- Busca os datos algunhas cidades do mundo e compáraos cos que se obterían cos datos do problema.

5- Comenta a fiabilidade das predicións.


Leoncio Santos Cuervo
© Ministerio de Educación e Ciencia. Ano 2001