Un famoso teorema

 

 

Ó longo de toda a historia hai referencias a este resultado. Sábese que o utilizaron os exipcios moito antes do nacemento de Pitágoras .

O relato escrito mais antigo que se conserva é unha tablilla babilónica do ano 1800 a. de C . Nela utilízanse “ ternas pitagóricas ” (coleccións de tres números que cumpren o teorema), proporcionando un método para o seu cálculo:

Se p e q son dous números naturais podemos obter unha terna pitagórica facendo:

Por exemplo, se p=7 e q=5

                       

É o teorema que conta con mais demostracións . Elias S. Loomis, profesor da Universidade de Baldwin, EE.UU., publicou en 1927 unha recompilación de 367 demostracións distintas do Teorema de Pitágoras.

A demostración mais antiga que se coñece corresponde ós chinos ,e data do ano 1000 a. de C. A continuación reprodúcese esta demostración:

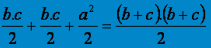
A área do cadrado de lado (b+c) é

Pero se o consideramos suma dun cadrado de lado a e de catro triángulos rectángulos de lados a , b e c , esta área sería:

Como as dúas expresións deben ser iguais:

Simplificando:

Polo tanto:

 

Unha das demostración corresponde a James Abraham Garfield (1831-1881), vixésimo presidente dos Estados Unidos, que a publicou en 1876. Para elo utilizou o seguinte método:

A área do trapecio é:

Tendo en conta que o trapecio o podemos descompoñer en suma de tres triángulos rectángulos, a área anterior pode calcularse facendo:

Como as dúas expresións deben ser iguais:

Simplificando:

Polo tanto:

 

 

Disección de Périgal: Esta enxeñosa demostración corresponde ó matemático inglés Henry Perigal (1801-1898).

Pasando polo centro do cadrado construído sobre o maior dos catetos, trázase unha perpendicular e unha paralela á hipotenusa.

Coas catro pezas obtidas mais o cadrado construído sobre o outro cateto podemos cubrir o cadrado construído sobre la hipotenusa.

 

Unha das mais intuitivas é a que se mostra a continuación, ¡sobran as palabras!:

     

 

Esta é de exercicio: movendo tan só duas pezas das que forman a figura da esquerda hai que intentar completar a da dereita

Área = a.a

 

Área = b.b+c.c

 

O Teorema de Pitágoras tamén se pode demostrar probando que a area do cadrado construído sobre a hipotenusa do triángulo e igual á suma das áreas dos cadrados construídos sobre os catetos.

Nos seguintes enlaces atópanse dúas demostracións basadas nesta propiedade feitas con "Cabri".

Demostración 1                          Demostración 2