Alcoholes
A)

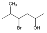
4-bromo-5-metilhexan-2-ol o 4-bromo-5-metil-2-hexanol
B)

3-metilciclohexanol
NOTA:
En el caso de alcoholes cíclicos no es necesario indicar la posición del grupo hidroxilo, puesto que siempre toma localizador 1.
* En los alcoholes también está extendida otra nomenclatura:
alcohol raiz-ílico
Como ejemplos tenemos el alcohol metiílico (metanol) o el alcohol isopropílico (2-propanol)
![]()
© Mariano Pazos Afonso. Curso 2009-10