Ésteres

 

 

 

 

 

  1. ¿Nombra las siguientes moléculas?

 

 

 

A)

 

 

 

  1. Aplicando las reglas.

 

 

 

 

 

 

 

Ciclohexanocarboxilato de metilo

 

 

 

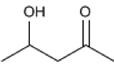
B)

OCH3

 

 

 

 

  1. Aplicando las reglas .

 

 

 

 

 

 


 

3-Hidroxibutanoato de metilo

 

 

 

 

Adelante Volver

 

     

pie

 

 

 

 

 

© Mariano Pazos Afonso. Curso 2009-10