Ésteres

 

 

 

 

 

  1. ¿Nombra las siguientes moléculas?

 

 

 

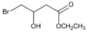
C)

 

 

 

  1. Aplicando las reglas.

 

 

 

 

 

 

4-Bromo-3-hidroxibutanoato de etilo

 

 

 

 

D)

 

 

 

 

  1. Aplicando las reglas .

 

 

 

 

 

 

3-Oxopent-4-enoato de metilo

 

 

 

 

Adelante Volver

 

     

pie

 

 

 

 

 

© Mariano Pazos Afonso. Curso 2009-10