Circumference

IDevice Icon Model

IDevice Icon Definitions

The circumference is the set of the points of the plane that have the same distance from a point called center.

The radius of a circumference is the distance between the center C and an its point P.


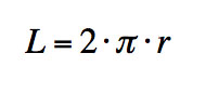
IDevice Icon Formulas

where r is the radius.