Trapezium

IDevice Icon Model

IDevice Icon Definition

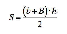
The trapezium is a quadrilateral having exactly one pair of parallel sides.

The parallel sides are called the bases of the trapezium and the other two sides are called legs or the lateral sides.

The height (or altitude) is the perpendicolar distance between the bases.


IDevice Icon Attività
where b is the upper base, B is the lower base and h is the height.