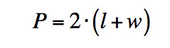
Rectangle
The rectangle is a quadrilateral that has four right angles.
Its sides are called length and width.
where l is length and w is width.
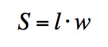
Rectangle
The rectangle is a quadrilateral that has four right angles.
Its sides are called length and width.
where l is length and w is width.