Hexagon
The hexagon regular is a figure with six sides equal.
The apothem of a regular hexagon is a line segment from the center to the midpoint of one of its sides.
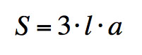
where l is the side and a is the apothem.
Hexagon
The hexagon regular is a figure with six sides equal.
The apothem of a regular hexagon is a line segment from the center to the midpoint of one of its sides.