Geometry
Flat Figures
Solid figures
Definitions and formulas
Cube
Parallelepiped
Triangular Prism
Hexagonal Prism
Pyramid
Tetrahedron
Cylinder
Cone
Truncated Pyramid
Truncated Cone
Exercises
Cone
Model
Definitions
The
apothem
is the distance between the vertex and the point of the circumference.
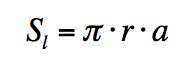
Formula of the lateral area
where r is the radius and a is the apothem.
« Previous
|
Next »