Geometry
Flat Figures
Solid figures
Definitions and formulas
Cube
Parallelepiped
Triangular Prism
Hexagonal Prism
Pyramid
Tetrahedron
Cylinder
Cone
Truncated Pyramid
Truncated Cone
Exercises
Truncated Pyramid
Model
Definitions
The
apothem
is the distance between the parallel sides of the trapezoid of the pyramid.
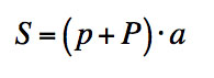
Formula of the lateral area
where p is the perimeter of the upper base, P is the perimeter of the lower base and a is the apothem.
« Previous
|
Next »