Geometry
Flat Figures
Solid figures
Definitions and formulas
Cube
Parallelepiped
Triangular Prism
Hexagonal Prism
Pyramid
Tetrahedron
Cylinder
Cone
Truncated Pyramid
Truncated Cone
Exercises
Cylinder
Model
Definitions
The
altitude
is the distance between the centers of the two circumferences.
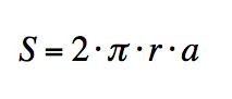
Formula of the lateral area
where r is the radius and a is the altitude.
« Previous
|
Next »