Geometry
Flat Figures
Solid figures
Definitions and formulas
Cube
Parallelepiped
Triangular Prism
Hexagonal Prism
Pyramid
Tetrahedron
Cylinder
Cone
Truncated Pyramid
Truncated Cone
Exercises
Hexagonal Prism
Model
Definitions
The altitude
is the distance between the bases.
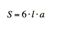
Formula of the lateral area
where l is the side and a is the altitude.
« Previous
|
Next »